Consider the following quadratic function.
f(x)=–2x²+4x+3
(a) Write the equation in the form f(x)=a (x-h)2 + k. Then give the vertex of its gr
Writing in the form specified: f(x) = 0
:
=
Х
Vertex:
OD
(b) Graph the function. To do this, plot five points on the aranh of the function

Consider The Following Quadratic Function.f(x)=2x+4x+3(a) Write The Equation In The Form F(x)=a (x-h)2

Answers

Answer 1

Answer:

Step-by-step explanation:

Consider The Following Quadratic Function.f(x)=2x+4x+3(a) Write The Equation In The Form F(x)=a (x-h)2
Consider The Following Quadratic Function.f(x)=2x+4x+3(a) Write The Equation In The Form F(x)=a (x-h)2

Related Questions

is x^2 + 1 a polynomial

Answers

Answer:  Answer: x^2 - 1 is not a polynomial as after simplifying it there will be no variable.

Step-by-step explanation:

There are 1/2 as many eighth graders in the choir as seventh graders. There are 48 eight graders. Write and solve an equation to find the number of seventh graders in the choir. (This problem needs to be written as an equation..not just 48x2) Thanks

Answers

Answer:

Step-by-step explanation:

Let x represent the number of seventh graders in the choir:

48=x/2

x=96

A small cube has the volume shown. It's side length is 1 in. Less than a second, larger cube. What is the volume of the larger cube?

A small cube has the volume shown. It's side length is 1 in. Less than a second, larger cube. What is

Answers

The volume of the larger cube is 148.877in³

Volume = V

Length  = L

Therefore,

The volume of a cube can be depicted as,

V = L³

Given that the volume of the smaller cube = 85in³

Side Length of the small cube = x

95 = x³

x = ∛85

x = 4.397

x ≈ 4.3

Length of the larger cube = (x + 1)in

                                           = 4.3 + 1

                                           = 5.3in

Therefore, the volume of larger cube = 5.3³

                                                              = 148.877in³

To learn more about calculating the volume of a cube, refer to:

https://brainly.com/question/26136041


Graph-3,3,-0.4, and 3 on the number line.
3

Answers

Answer:

you need to give more explanation.

Which of the following is not a valid representation of a probability? Group of answer choices 0 3/8 35% 1.04

Answers

Answer:

0

Step-by-step explanation:

The valid representation of the probability does not include 1.04.

Calculation of the valid representation of the probability

Since 35% could be written in the percentage form i.e. 0.35. The probability could be equal to zero. The probability value should not be more than 1 like 1.04. Also 3 by 8 should be lower than 1 this represents the valid representation

Therefore, the last option is correct.

Hence, The valid representation of the probability does not include 1.04.

Learn more about probability here: https://brainly.com/question/16404410

Indicated measure for circle o

Indicated measure for circle o

Answers

Answer:

number a should be half of 82 which is 41

for question b is two times 26 which is 52

Question 7
Susan bought a car for N$120 000.00. Its value decreased in the ratio 3:5. What is the
value of the car after the decrease?
[2]

Answers

Answer:

Step-by-step explanation:

xxcSD1EA

If Dion was to purchase all 171 ticktes, then it would cost him $25.
If Dion decided to just buy ticket books with 24 tickets per book how many books would he have to purchase
to have at least 171 tickets?

Answers

Answer:

He would need to purchase 8 ticket books. 8*24=192

Step-by-step explanation:

171/24=7.125 so he would need 8 books

Solve for measure of angle a.
55°
a = [?]°
25° ат

Solve for measure of angle a.55a = [?]25

Answers

Check the picture below.

Solve for measure of angle a.55a = [?]25

If y varies inversely as x and y = -97 when x = 28 find y if x = 36.

Answers

Given:

\(y\alpha\frac{1}{x}\)

Introducing a constant 'k'

\(y=\frac{k}{x}\)

Substitute y = -97, x = 28

\(\begin{gathered} -97=\frac{k}{28} \\ \therefore k=-97\times28=-2716 \end{gathered}\)

Let us write out the relationship connecting y and x

\(y=-\frac{2716}{x}\)

Let us now solve for y if x = 36

\(y=-\frac{2716}{36}=-75\frac{4}{9}\)

Hence,

\(y=-75\frac{4}{9}\)

The lines shown below are perpendicular. If the green line has a slope of 2,
what is the slope of the red line?
-10
10
16
A. ¾/1
O A.
B.
O C.
O D. - 3/4

Answers

None of the given answer options (-10, 10, 16, ¾/1) correspond to the correct slope of -1/2.

To find the slope of the red line given that it is perpendicular to the green line with a slope of 2, we can use the property that perpendicular lines have slopes that are negative reciprocals of each other.

The slope of the green line is 2. To find the slope of the red line, we take the negative reciprocal of 2. The negative reciprocal is obtained by taking the reciprocal (flipping the fraction) and changing the sign.

Reciprocal of 2: 1/2

Negative reciprocal: -1/2

Therefore, the slope of the red line is -1/2.

However, none of the given answer options (-10, 10, 16, ¾/1) correspond to the correct slope of -1/2.

for such more question on perpendicular

https://brainly.com/question/18991632

#SPJ8

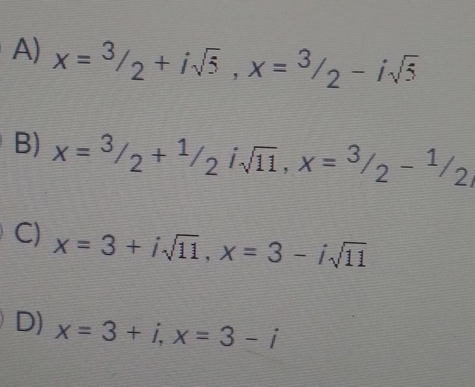
\(2x ^{2} - 6x + 10 = 0\)solve by completing the square

[tex]2x ^{2} - 6x + 10 = 0[/tex]solve by completing the square

Answers

We know that we can use the quadratic equation

Using this we have

\(\begin{gathered} x=\frac{-(-6)\pm\sqrt[]{(-6)^2-4\cdot2\cdot10}}{2\cdot2}=\frac{6\pm\sqrt[]{36-80}}{4} \\ =\frac{6\pm\sqrt[]{-44}}{4}=\frac{6\pm\sqrt[]{4\cdot-11}}{4}=\frac{6\pm2\cdot\sqrt[]{-11}}{4} \\ =2\cdot(\frac{3\pm\sqrt[]{-11}}{4})=\frac{3\pm\sqrt[]{-11}}{2}=\frac{3\pm\sqrt[]{11}i}{2} \\ =\frac{3}{2}\pm\frac{\sqrt[]{11}}{2}i \end{gathered}\)

So the answer is B)

[tex]2x ^{2} - 6x + 10 = 0[/tex]solve by completing the square

I'll mark brainly pls do this​

I'll mark brainly pls do this

Answers

Step-by-step explanation:

Verbs are read, complete, checked, work, invite. Pronouns are their, your, and them. Nouns are Classroom, Zeroes, Friday, February, friends, assignment, students, trimester. Adjectives are simple, missing.

Hope this helps! If I missed some or got some wrong, please tell me! Goodbye!

You have to divid then Milton

It's in the pic plz help

It's in the pic plz help

Answers

Answer:

It is 4 because length PO is also 4 and TR is across from it.

Step-by-step explanation:

Ana works 25 hours a week at the library. If she is paid $10 an hour, and her net salary each week is $212.50, what percent of her salary is withheld for taxes?

Answers

Approximately 17.65% of Ana's salary is withheld for taxes.

To calculate the percentage of Ana's salary that is withheld for taxes, we need to determine the amount of tax withheld and then express it as a percentage of her net salary.

Number of hours worked per week (H) = 25 hours

Hourly wage (W) = $10

Net salary (S) = $212.50

Calculate the total earnings before taxes:

Total earnings = Hours worked * Hourly wage

Total earnings = 25 hours * $10/hour

Total earnings = $250

Determine the amount of tax withheld:

Tax withheld = Total earnings - Net salary

Tax withheld = $250 - $212.50

Tax withheld = $37.50

Calculate the percentage of salary withheld for taxes:

Percentage withheld = (Tax withheld / Net salary) * 100

Percentage withheld = ($37.50 / $212.50) * 100

Percentage withheld ≈ 17.65%

Therefore, approximately 17.65% of Ana's salary is withheld for taxes.

for such more question on percentage

https://brainly.com/question/24877689

#SPJ8

-. The side views of two different ramps are shown below. Which is a true
tatement about the slope of the ramps?

Answers

The statement that is true about the slope of the ramps is: A. Slope of ramp A = slope of ramp B.

What is the Slope?

Slope = gradient = rise / run = vertical distance / horizontal distance.

Slope of the side view of ramp A = rise / run = 20 / 30 = 2/3.

Slope of  the side view of ramp B = rise / run = 14 / 21 = 2/3.

The slope of A = slope of B = 2/3

The statement that is true of the slopes of both ramps is therefore: A. Slope of ramp A = slope of ramp B.

Learn more about the slope on:

https://brainly.com/question/13861479

#SPJ1

EASY: order from largest to smallest size

EASY: order from largest to smallest size

Answers

Answer:

Decending

Step-by-step explanation:

Answer:

1,2,3

Step-by-step explanation:

Bennett Griffin and Chula Garza organized Cole Valley Book Store as a corporation; each contributed $71,500 cash to start the business and received 5,600 shares of common stock. The store completed its first year of operations on December 31, current year. On that date, the following financial items for the year were determined: December 31, current year, cash on hand and in the bank, $69,250; December 31, current year, amounts due from customers from sales of books, $43,500; unused portion of store and office equipment, $72,500; December 31, current year, amounts owed to publishers for books purchased, $12,400; one-year note payable to a local bank for $3,200. No dividends were declared or paid to the stockholders during the year.

Required:
Complete the following balance sheet as of the end of the current year. Some information has been given below.
What was the amount of net income for the year? (Hint: Use the retained earnings equation [Beginning Retained Earnings + Net Income − Dividends = Ending Retained Earnings] to solve for net income.)

Answers

he net income for the year is $16,550.

Calculation of the net income for the year:Retained earnings equation is:Beginning Retained Earnings + Net Income − Dividends = Ending Retained EarningsWhere, Beginning Retained Earnings = $0 (not given)Ending Retained Earnings = $16,550 (calculated from balance sheet)Dividends = $0 (not given)

Therefore,Net Income = Ending Retained Earnings - Beginning Retained Earnings + Dividends= $16,550 - $0 + $0= $16,550 Balance Sheet of Cole Valley Book Store as of December 31, current year:Current assets Cash on hand and in bank = $69,250 Amounts due from customers from sales of books = $43,500 Total current assets = $112,750 Property, plant, and equipment Unused portion of store and office equipment = $72,500

Total assets = $185,250Liabilities Amounts owed to publishers for books purchased = $12,400 One-year note payable to a local bank = $3,200 Total liabilities = $15,600 Stock holders' Equity Common stock, 5,600 shares at $71,500 = $400,400 Retained earnings, beginning = $0Net income = $16,550 Retained earnings, ending = $16,550 Total stockholders' equity = $416,950Total liabilities and stockholders' equity = $185,250 + $15,600 + $416,950= $617,800

for more search question income

https://brainly.com/question/30157678

#SPJ8

It takes 24 minutes for a pump to empty a tank. A larger pump can empty the tank in half the time. How long would it take to empty the tank with both pumps operating?

Answers

I think it’s 6 minutes

using transformation (x-2 y+3) find the new coordinates of (7 -5) brainly

Answers

Answer:

(5, -2)

Step-by-step explanation:

In the coordinates (7, -5), 7 is the x-coordinate and -5 is the y-coordinate.

The transformation, (x-2 y+3), states that the x-coordinate, 7, must be subtracted by 2.

When subtracted by two, (7 - 2), the difference is 5.

The transformation, (x-2 y+3), states that the y-coordinate must be increased by 3.

When added by 3, (-5 + 3), the sum is -2.

Therefore, the new coordinates are (5, -2).

The table shows values for functions f(x) and g(x) . x f(x) g(x) 1 1 3 3 −9 −9 5 0 −2 7 2 2 9 12 9 11 11 1 What are the known solutions to f(x)=g(x) ? Select each correct answer. Responses 1 1 3 3 7 7 9 9 11 11

Answers

Answer: The known solutions to f(x)=g(x) are x=1, x=7, and x=11. These are the values of x for which the values of f(x) and g(x) are equal according to the given table.

Answer:

the correct answers are:

1)1

2)3

3)7

4)9

Step-by-step explanation:

The known solutions to f(x) = g(x) can be determined by comparing the values of f(x) and g(x) in the given table. From the table, the matching values of f(x) and g(x) are:

1.x = 1: f(1) = 1, g(1) = 1

2.x = 3: f(3) = 3, g(3) = 3

3.x = 7: f(7) = 9, g(7) = 9

4.x = 9: f(9) = 11, g(9) = 11

Therefore, the correct answers are:

1)1

2)3

3)7

4)9

Consider the linear equation:2y + 3 = 0Step 1 of 2: Find two points on the line to be graphed.

Consider the linear equation:2y + 3 = 0Step 1 of 2: Find two points on the line to be graphed.

Answers

Given the linear equation

\(2y+3=0\)

To begin with, let us make y the subject of the question

\(\begin{gathered} 2y=0-3 \\ 2y=-3 \\ \\ y=-\frac{3}{2} \end{gathered}\)

The graph of the function is given below

The points on the graph include

\((0,-1.5)\text{ and (3,-1.5)}\)

For fraction we will have

\((0,-\frac{3}{2})\text{ and (}3,-\frac{3}{2}\text{)}\)

Consider the linear equation:2y + 3 = 0Step 1 of 2: Find two points on the line to be graphed.

find the value of 11 (a + b) when a = 7 and b = 3. (a) 110
(b)77
(c) 11,000
(d) 44​

Answers

Answer:

(a) 110

Step-by-step explanation:

We can plug in 7 for a and 3 for b.  Then we can simplify

11(a + b)

11(3 + 7)

11(10)

110

Thus, the value of 11(a + b) when a = 7 and b = 3 is 110, or answer a

Hey?? Answer this question

Hey?? Answer this question

Answers

Answer:

Option D

Step-by-step explanation:

Because, there is equals symbol in the equation.

3.6 + 1.23 + 0.042 find the sum

Answers

4.872 is the answer.
You add all three up and that is what you get.
the answer to 3.6 + 1.23 + 0.042 is 4.872

Roger and Mary have an online account for buying movies. Roger's account balance is -$25
and Mary's is -$10. Who owes more money?

Answers

Answer:

Rodgers simply because owing 25 dollars is more than 10

Emily and Josh are both solving 3.65 ÷ 100. Emily says the answer is 365. Josh says the answer is 0.0365. Which student is correct?

A Emily, because when dividing by a power of 10, the decimal moves to the right.

B Josh, because when dividing by a power of 10, the decimal moves to the left

C Emily, because when multiplying by a power of 10, the decimal moves to the right.

D Josh, because when multiplying by a power of 10, the decimal moves to the left.

Answers

Answer:

The answer is [B Josh, because when dividing by a power of 10, the decimal moves to the left]

Answer: the answer is B

Step-by-step explanation:

there are 300 staff members this year. this is 25% lower than last years number of staff members. what was last years number of staff members?

Answers

Answer:

400

Step-by-step explanation:

75/100 = 300/x

75x = 30000

x = 400

Round the fraction to the nearest whole number.
3.
1/3

Answers

0

The answer would be 0 because 2/3 wouldn't be able to round up to a number so it would be 0.But if what you are saying is 3 1/3 rounded to the nearest whole number it would be 3

Conduct the hypothesis test and provide the test statistic and the critical​ value, and state the conclusion. A person drilled a hole in a die and filled it with a lead​ weight, then proceeded to roll it 200 times. Here are the observed frequencies for the outcomes of​ 1, 2,​ 3, 4,​ 5, and​ 6, respectively: 29​, 31​, 49​, 37​, 26​, 28. Use a 0.025 significance level to test the claim that the outcomes are not equally likely. Does it appear that the loaded die behaves differently than a fair​ die?

Answers

The loaded die appears to behave differently from a fair die.Based on the chi-square test, the loaded die does not exhibit equal probabilities for each outcome.

To test the claim that the outcomes of the loaded die are not equally likely, we can use the chi-square goodness-of-fit test. The null hypothesis (H₀) assumes that the outcomes are equally likely, while the alternative hypothesis (H₁) assumes that they are not equally likely.

Step 1: Set up hypotheses

H₀: The outcomes of the die are equally likely.

H₁: The outcomes of the die are not equally likely.

Step 2: Select the significance level

The significance level is given as 0.025, which means we have a two-tailed test and an alpha level of 0.025 for each tail.

Step 3: Compute the test statistic

We calculate the chi-square test statistic using the observed frequencies and the expected frequencies assuming equal probabilities for each outcome.

Expected frequencies (fair die):

1: 200/6 = 33.33

2: 200/6 = 33.33

3: 200/6 = 33.33

4: 200/6 = 33.33

5: 200/6 = 33.33

6: 200/6 = 33.33

Applying the chi-square formula, we get the test statistic:

χ² = ∑((observed - expected)² / expected)

Calculating this value, we get χ² ≈ 13.97.

Step 4: Determine the critical value

Since the significance level is 0.025 and the test is two-tailed, we divide the significance level by 2 to find the critical value associated with each tail. With 5 degrees of freedom (6 categories - 1), the critical value is approximately 11.07.

Step 5: Make a decision

The test statistic (13.97) is greater than the critical value (11.07), which leads us to reject the null hypothesis. Thus, we have evidence to suggest that the outcomes of the loaded die are not equally likely.

The loaded die appears to behave differently from a fair die.

In conclusion, based on the chi-square test, the loaded die does not exhibit equal probabilities for each outcome.

For more such questions die,click on

https://brainly.com/question/31368101

#SPJ8

Other Questions
You flip a coin twice.What is the probability of getting heads and then getting heads?Simplify your answer and write it as a fraction or whole number. sobre que base crees que los jueces toman sus decisiones? Ayuda por favor es para hoy what is the result of converting 11110000.10111001.00001000.01100111 to dotted decimal notation? suppose a liquid level from 5.5 to 8.6 m is linearly converted to pneumatic pressure from 3 to 15 psi. what pressure will result from a level of 7.2 m? what level does a pressure of 4.7 psi represent? (linear transfer function, 4 pts) 2. In a class of 45 students, 15 are in the Math Club and 10 are in the Art Club. If a student is selected at random, what is the probability that the selected student is:a) in the Math club? _____b) in the Art club? _____ Limestone can be either a biochemical or a chemical sedimentary rock. Explain how both types of limestone are formed. Make sure to describe the environments in which they were formed. 7.95 x 10226.02 x 1023 What happens to the body if it does not have enough fluid needed to function normally? The most prominent ultrastructural feature of a plasma cell actively engaged in constitutive secretion of immunoglobulin is an abundance of which of the following? A) Autophagic vesicles B) Mitochondria C) Rough endoplasmic reticulum D) Smooth endoplasmic reticulum E) Secretory granules I will give brainliest1. What is the main idea of the first paragraph? a) The car had electronically operated window and sunroof. b) The car had a powerful engine. c) The main character had a new BMW sports car. d) The main character enjoyed driving. 2. The powerful engine growled and grunted impatiently at slow speeds, but at sixty miles an hour the growling stopped and the motor began to purr with pleasure. To what does Roald Dahl compare the engine to in this extended metaphor? a) a gorilla b) a large cat c) a centipede d) a wild boar 3. Had the driver been a hitchhiker before? a) Yes b) No 4. What was the story tellers occupation? a) a race car driver b) a writer c) a pick-pocket d) an investigator 5. Why was the story teller traveling much faster than the speed limit? a) He was distracted by the conversation and didnt realize he was speeding. b) He was trying to outrun the policeman on a motorcycle. c) He was trying to get the hitchhiker to his destination on time. d) He was trying to prove to the hitchhiker that his car could go 129mph. 6. What did the police officer do after he returned the story tellers drivers license? a) He went to the front of the car and wrote down the license plate number? b) He asked the hitchhiker his name. c) He checked the information was visible on the carbon copy of the ticket and gave the ticket to the story teller. d) He filled in the time, date, and details of the driving offence on the ticket. 7. "Absolutely," he said, smacking his lips. "In the clink. Behind the bars. Along with all the other criminals who break the law. In context, the word clink means: a) to make a toast with glassware b) jail c) sewer d) to defend oneself in court I will give brainiest!! (English teacher give riddles) John has three daughters who are all unmarried. The youngest always lies, the oldest always tells the truth, and the one in the middle either tells the truth or lies. A very rich young man comes to John's house and says he wishes to marry one of his daughters. Naturally he wants to marry the oldest or the youngest so he will always know if she is lying or telling the truth. John agrees but says he can only ask one of the girls a yes or no question to decide which one he marries. They all look the same age.What one question does he ask one of the daughters at random to figure out which daughter is the youngest or oldest? How was the lone woman's life and health impacted by her move to the mainland?Question 2 options:She grew to miss her life on San Nicolas Island and become homesick.She became ill shortly after arriving and died.She was treated as more of an attraction than a person and this made her sad.She realized that her people were gone and died of a broken heart. what type of role should civil society play to maintain good governance in Nepal? which description of a muscle action is not correct? Answer the following question in a complete French sentence.You may copy and paste the accented characters from this list if needed: Est-ce que tu aimes les zoos? Pourquoi? Pourquoi pas? Determine whether each series is arithmetic or geometric. Then evaluate the finite series for the specified number of terms. 81+27+9+3+ . . . . .; n=200 38 is what percent of 84 (to the nearest percent)? Find the x- and y- components of a 20 N, 30o south of west vector. 1. A ball is thrown straight up with a speed of 50 m/s.a) How long will it take for the ball to reach the top of its path? in a large hotel, the person under the general manager who assumes responsibility for day-to-day operations is the