HELP MEE ILL GIVE BRAINLIEST!!

HELP MEE ILL GIVE BRAINLIEST!!

Answers

Answer 1

Answer:

16 by 8

Step-by-step explanation:


Related Questions

please answer quickly with explanation

please answer quickly with explanation

Answers

Answer:

hope this helps you to solve it

please answer quickly with explanation

Fill in the box to rewrite the expression 5x + 10
using the GCF.
5x + 10 = (
x) + (5 •

Answers

The GCF is 5 so the new expression would be: 5(x+2)

factorise 4px-3my-2pm-6xy​

Answers

Answer:

E

Step-by-step explanation:

NO

Charles can run at a speed of 8.6 meters per second. If he runs for 65 seconds, how far does he run?
A. 559 meters
B. 755 meters
C. 86 meters
D. 16 meters

Answers

A. 559 meters Is the answer

Mark all identifiers that are included when identifying significant digits:

All nonzero digits are significant

Zeros at the end of a number to the right of a decimal point are significant

Zeros at the end of a number without a decimal point are assumed to be not significant

Zeros between two other significant digits are significant

Zeros to the left of the first nonzero digits in a decimal are not significant

All zeros are significant

Answers

The markers identified when identifying significant digits include:

All nonzero digits are significant.Zeros between two other significant digits are significantZeros to the left of the first nonzero digits in a decimal are not significant

What are significant digits?

Significant digits in mathematics refers to digits that  are meaningful in mathematical calculations. This implies that their position and the quantity alters the value of the number. The particular digit and the position determines whether the digit is significant or not.

Instances of digits with their locations that are significant are:

All nonzero digits are significant.Zeros between two other significant digits are significantZeros to the left of the first nonzero digits in a decimal are not significant.Zeros at the end of a number without a decimal point are assumed to be significant

These instances results to significant digits while the instances below the digits are insignificant:

Zeros at the end of a number to the right of a decimal point are not significant Zeros at the in the front of a non zero digit are not significant

Read more on significant digits here: https://brainly.com/question/24491627

#SPJ1

you and a friend each roll two dice. what is the probability that you both have the same two numbers? (the two cases are whether you role doubles or not)

Answers

The probability that you and your friend both have the same two numbers is approximately 0.4823, or about 48.23%.

If you and your friend each roll two dice, there are two possible cases:

You both roll doubles (i.e., both dice show the same number).

You both roll non-doubles (i.e., the two dice show different numbers).

Let's calculate the probability of each case separately:

The probability of rolling doubles on one die is 1/6, since there are six possible outcomes (1, 2, 3, 4, 5, or 6) and only one of them will result in doubles. The probability of rolling doubles on both dice is the product of the probabilities of rolling doubles on each die, which is (1/6) * (1/6) = 1/36. Therefore, the probability that you and your friend both roll doubles is (1/36) * (1/36) = 1/1296.

The probability of rolling non-doubles on one die is 5/6, since there are five possible outcomes (2, 3, 4, 5, or 6) that will result in non-doubles, out of a total of six possible outcomes. The probability of rolling non-doubles on both dice is the product of the probabilities of rolling non-doubles on each die, which is (5/6) * (5/6) = 25/36. Therefore, the probability that you and your friend both roll non-doubles is (25/36) * (25/36) = 625/1296.

Therefore, the overall probability that you and your friend both have the same two numbers is the sum of the probabilities of the two cases:

1/1296 + 625/1296

= 626/1296

= 0.4823 (rounded to four decimal places)

So, the probability that you and your friend both have the same two numbers is approximately 0.4823, or about 48.23%.

To know more about probability check below link:

https://brainly.com/question/24756209

#SPJ4

Transcribed image text:
By writing the internal energy, E explicitly as a function of state E(T,V) prove the following relationship: dQ=(
∂T
∂E

)
V

dT+[(
∂V
∂E

)
T

+P]dV

Answers

Given the following relationship dQ = (∂T/∂E)_V dT + [(∂V/∂E)_T + P]dV

To prove the relationship between heat transfer (dQ) and changes in temperature (dT) and volume (dV) using the internal energy (E) as a function of state E(T, V), we need to differentiate E with respect to T and V.

The first step is to express the total differential of E using the chain rule:

dE = (∂E/∂T)_V dT + (∂E/∂V)_T dV

where (∂E/∂T)_V represents the partial derivative of E with respect to T at constant V, and (∂E/∂V)_T represents the partial derivative of E with respect to V at constant T.

Now, let's rearrange the equation to isolate dQ:

dQ = (∂E/∂T)_V dT + (∂E/∂V)_T dV

To relate dQ to the given partial derivatives, we need to consider the first law of thermodynamics:

dQ = dE + PdV

where P is the pressure.

Substituting dE + PdV into the equation above:

dQ = (∂E/∂T)_V dT + (∂E/∂V)_T dV + PdV

Now, we can rearrange the terms to match the desired relationship:

dQ = (∂E/∂T)_V dT + [(∂E/∂V)_T + P]dV

This matches the relationship stated:

dQ = (∂T/∂E)_V dT + [(∂V/∂E)_T + P]dV

Therefore, we have successfully proven the relationship between heat transfer (dQ) and changes in temperature (dT) and volume (dV) using the internal energy (E) as a function of state E(T, V).

To learn more about heat transfer

https://brainly.com/question/27444608

#SPJ11

the time (in minutes) that a subject spent on a psychological test was used as a measure of cognitive function. 41 schizophrenics (2) and 49 non-schizophrenics (1) were given the test, and their time was recorded. psychologists theorize that the mean time on the test for non-schizophrenics will be less than the mean for schizophrenics.

Answers

Psychologists theorize that the mean time on the test for non-schizophrenics (1) will be less than the mean time for schizophrenics (2).

We have two groups: schizophrenics and non-schizophrenics. The time spent on the psychological test is used as a measure of cognitive function.

Let's denote the mean time for schizophrenics as μ2 and the mean time for non-schizophrenics as μ1.

According to the psychologist's theory, they expect μ1 < μ2, meaning that the mean time for non-schizophrenics will be less than the mean time for schizophrenics.

This hypothesis can be tested using statistical analysis such as a t-test or a hypothesis test comparing the means of two independent groups.

Based on the psychologist's theory, they anticipate that the mean time on the psychological test for non-schizophrenics will be lower than the mean time for schizophrenics. Statistical analysis can be conducted to test this hypothesis and determine if there is evidence to support the theory.

To know more about psychological test, visit

https://brainly.com/question/10214707

#SPJ11

What is the value of (2/5)^3

Answers

The value of the exponent (2/5)^3 is \(\frac{8}{125}\)

In the above question, it is given that

(2/5)^3

The number of times a number has been multiplied by itself is referred to as an exponent. For instance, the expression 2 to the third (written as 2^3) signifies 2 x 2 x 2 = 8.

We need to solve it and then find the value of the exponent

(2/5)^3

= \(\frac{2}{5}\) x \(\frac{2}{5}\) x \(\frac{2}{5}\)

= \(\frac{2 . 2. 2}{5 . 5 . 5}\)

= \(\frac{8}{125}\)

Therefore the value of the exponent (2/5)^3 is \(\frac{8}{125}\)

To learn more about, exponential here

https://brainly.com/question/219134

#SPJ1

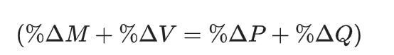
Part A:
Use the exchange equation below to answer the following questions.
There has been a 3% change in the money supply and a 1% change in velocity. In order to balance the exchange equation, what percentage of change needs to occur on the right side of the equation?

Part B:
If the annual percent change in velocity is 2% and the percent in quantity is 5%. what would the percent change in money supply need to be to have a 0% change in price? Show work.

Part A:Use the exchange equation below to answer the following questions.There has been a 3% change in

Answers

After answering the provided question, we can conclude that Therefore, equation the money supply needs to decrease by 13% to balance the exchange equation and have a 0% change in price.

Part A:

The exchange equation is MV = PQ, where M is the money supply, V is the velocity of money, P is the price level, and Q is the quantity of goods and services exchanged.

MV = PQ

(M + 3%) (V - 1%) = PQ

MV + 2%M - 3%V - 3%MV = PQ

2%M - 3%V - 3%MV = -MV

2%M - 3%V - 3%MV = -M(1 + 2%)

Therefore, a 5% decrease (-5%) in the right side of the equation is needed to balance the exchange equation.

Part B:

To have a 0% change in price, the percentage change in the left side of the equation (MV) needs to be equal and opposite to the percentage change in the right side (PQ).

MV = PQ

(M + x%) (V + 2%) = (P + 0%) (Q + 5%)

MV + 2%M + Vx + 2%xV = PQ + 5%P + 5%Q

MV + 2%M + Vx + 2%xV = MV + 5%P + 5%Q

2%M + Vx + 2%xV = 5%P + 5%Q

2%M + Vx + 2%xV = 5%y

x = (5%y - 2%M - 2%xV) / V

x = (5%(-5%) - 2%(0%) - 2%(2%)) / 2%

x = -13%

Therefore, the money supply needs to decrease by 13% to balance the exchange equation and have a 0% change in price.

To know more about equation visit:

brainly.com/question/649785

#SPJ1

Rajiv is expanding his garage by removing a wall that separates the garage from a closet. Which expressions can be used to determine the total area, in square feet, of Rajiv's garage after he removes the wall? Choose all the correct answers.
A. 14.5x + 12

B. 12(14.5 + x)

C. 174 + x

D. 26.5 + x

F. 12(14.5x)

G. 12x + 174

Answers

The expressions that can be used to determine the total area, in square feet, of Rajiv's garage after he removes the wall are

12(14.5 + x)12x + 174

How to solve for the total surface area

We have to solve for the total area of the garage of Rajiv after he had removed the wall

This is given as

12 * x + 12 * 14.5

= 12(14.5 + x)

Option B

When we expand the expression 12(14.5 + x)

174 + 12x

re written as

12x + 174

Option G

The expression that can be used to determine the total area, in square feet, of Rajiv's garage after he removes the wall is given as 12(14.5 + x), 12x + 174

Read more on total area here:https://brainly.com/question/16519513

#SPJ1

Rajiv is expanding his garage by removing a wall that separates the garage from a closet. Which expressions

Fill in the blank.

|3.3| = ____

Answers

Answer:

it stays the same

Step-by-step explanation:

if it was -3.3 then it would change to 3.3 but because it is already in the positives it stays a positive plz double chesk if needed tho

Answer:

\(3.3\)

Step-by-step explanation:

Absolute value expresses the distance of a number from 0.

For this reason, no matter if the number is negative or positive, the absolute value of it will always be positive.

In this case, it is simply \(|3.3|=3.3\).

which of the following sets of numbers could represent the three sides of a right triangle? { 9 , 12 , 14 } {9,12,14} { 48 , 55 , 73 } {48,55,73} { 11 , 59 , 61 } {11,59,61} { 8 , 40 , 41 } {8,40,41}

Answers

The set of numbers { 9, 12, 14 } could represent the three sides of a right triangle.

In a right triangle, the Pythagorean theorem states that the square of the length of the hypotenuse (the side opposite the right angle) is equal to the sum of the squares of the other two sides. This can be expressed as c^2 = a^2 + b^2, where c is the length of the hypotenuse, and a and b are the lengths of the other two sides.

By checking the given sets of numbers, we can calculate the squares of the numbers and see if they satisfy the Pythagorean theorem. For the set { 9, 12, 14 }, we have 9^2 + 12^2 = 81 + 144 = 225, and 14^2 = 196. Since 225 = 196, the set { 9, 12, 14 } satisfies the Pythagorean theorem and can represent the three sides of a right triangle.

Know more about triangle here:

https://brainly.com/question/2773823

#SPJ11

Complete the table. In the row with X as the input write the rule as an algebraic expression for the output then complete the last row of the table using the rule. Express the values in your answers as decimals

Complete the table. In the row with X as the input write the rule as an algebraic expression for the

Answers

The last two rows of the table should be completed as follows:

Input   Output

8       22.80

10      28.50

What is algebraic expression?

An algebraic expression is a mathematical phrase that contains numbers, variables, and operations. It is used to represent a single quantity or value, and can be written in terms of one or more variables.

The rule given is an algebraic expression, x, which is the input, multiplied by 2.85, which is the output. Using this information, we can determine the cost of 10 muffins.

To find the cost of 10 muffins, we can use the algebraic expression given. First, we will multiply 10, the number of muffins, by 2.85, the cost of one muffin. This gives us a total of 28.50. Therefore, the cost of 10 muffins is 28.50.

Using this same rule and process, we can also determine the cost of any number of muffins. For example, if we want to know the cost of 15 muffins, we can simply multiply 15 by 2.85, giving us a total of 42.75.

For more questions related to numbers

https://brainly.com/question/24644930

#SPJ1

Which function contains the points (0,4) and (3,108) ? Select the correct answer below: f(x)=2 x
+3
f(x)=4 x
+3
f(x)=2 x
f(x)=4 x
f(x)=4(2) x
f(x)=4(3) x

Answers

The correct answer for the function that contains the points is none of the above.

To determine which function contains the points (0,4) and (3,108),

substitute the x-values and y-values in the given function options and see which function satisfies both points.

1. f(x) = 2x + 3

For (0,4): f(0) = 2(0) + 3 = 0 + 3 = 3 (incorrect)

For (3,108): f(3) = 2(3) + 3 = 6 + 3 = 9 (incorrect)

2. f(x) = 4x + 3

For (0,4): f(0) = 4(0) + 3 = 0 + 3 = 3 (incorrect)

For (3,108): f(3) = 4(3) + 3 = 12 + 3 = 15 (incorrect)

3. f(x) = 2x

For (0,4): f(0) = 2(0) = 0 (incorrect)

For (3,108): f(3) = 2(3) = 6 (incorrect)

4. f(x) = 4x

For (0,4): f(0) = 4(0) = 0 (incorrect)

For (3,108): f(3) = 4(3) = 12 (incorrect)

5. f(x) = 4(2)x

For (0,4): f(0) = 4(2)(0) = 0 (incorrect)

For (3,108): f(3) = 4(2)(3) = 24 (incorrect)

6. f(x) = 4(3)x

For (0,4): f(0) = 4(3)(0) = 0 (incorrect)

For (3,108): f(3) = 4(3)(3) = 36 (incorrect)

None of the given functions satisfy both points (0,4) and (3,108).

The complete question is ' Which function contains the points (0,4) and (3,108)? Select the correct answer below:

f(x)=2 x+3f(x)=4 x+3f(x)=2 xf(x)=4 xf(x)=4(2) xf(x)=4(3) xNone of the above

Learn more about functions:

https://brainly.com/question/1528681

#SPJ11

How can you get the variable alone in the
equation 25?
5
a

Answers

Answer:

5

Step-by-step explanation:

5x5=25

or

5xa=25

a=5

Answer:

a=5

Step-by-step explanation:

The basic technique to isolate a variable is to “do something to both sides” of the equation, such as add, subtract, multiply, or divide both sides of the equation by the same number.

\(\frac{5a}{5} =\frac{25}{5}\)

a=5

2d²y/dx² + yd²y/dx² = 0, dy/dx at x = 0 = 0, dy/dx at x = infinite = 1, dy/dx at x = 5 = 0.99 d²z/dx² + k/2y dz/dx = 0 z(0) = 0 and z(infinite) = 1 k is just a constant. Solve the differential equations with boundary conditions. By using Runge kutta4 method with MATLAB

Answers

Adjust the parameters as needed, such as the step size (h) and the final x-value (xn), and run the code to obtain the solution for y(x).

The resulting plot will show the solution curve.

To solve the given set of differential equations using the Runge-Kutta method in MATLAB, we need to convert the second-order differential equations into a system of first-order differential equations.

Let's define new variables:

y = y(x)

z = dz/dx

Now, we have the following system of first-order differential equations:

dy/dx = z (1)

dz/dx = -k/(2y) (2)

To apply the Runge-Kutta method, we need to discretize the domain of x. Let's assume a step size h for the discretization. We'll start at x = 0 and proceed until x = infinite.

The general formula for the fourth-order Runge-Kutta method is as follows:

k₁ = h f(xn, yn, zn)

k₂ = h f(xn + h/2, yn + k₁/2, zn + l₁/2)

k₃ = h f(xn + h/2, yn + k₂/2, zn + l₂/2)

k₄ = h f(xn + h, yn + k₃, zn + l₃)

yn+1 = yn + (k₁ + 2k₂ + 2k₃ + k₄)/6

zn+1 = zn + (l₁ + 2l₂ + 2l₃ + l₄)/6

where f(x, y, z) represents the right-hand side of equations (1) and (2).

We can now write the MATLAB code to solve the differential equations using the Runge-Kutta method:

function [x, y, z] = rungeKuttaMethod()

   % Parameters

   k = 1;              % Constant k

   h = 0.01;           % Step size

   x0 = 0;             % Initial x

   xn = 10;            % Final x (adjust as needed)

   n = (xn - x0) / h;  % Number of steps

   % Initialize arrays

   x = zeros(1, n+1);

   y = zeros(1, n+1);

   z = zeros(1, n+1);

   % Initial conditions

   x(1) = x0;

   y(1) = 0;

   z(1) = 0;

   % Runge-Kutta method

   for i = 1:n

       k1 = h * f(x(i), y(i), z(i));

       l1 = h * g(x(i), y(i));

       k2 = h * f(x(i) + h/2, y(i) + k1/2, z(i) + l1/2);

       l2 = h * g(x(i) + h/2, y(i) + k1/2);

       k3 = h * f(x(i) + h/2, y(i) + k2/2, z(i) + l2/2);

       l3 = h * g(x(i) + h/2, y(i) + k2/2);

       k4 = h * f(x(i) + h, y(i) + k3, z(i) + l3);

       l4 = h * g(x(i) + h, y(i) + k3);

       y(i+1) = y(i) + (k1 + 2*k2 + 2*k3 + k4) / 6;

       z(i+1) = z(i) + (l1 + 2*l2 + 2*l3 + l4) / 6;

       x(i+1) = x(i) + h;

   end

   % Plotting

   plot(x, y);

   xlabel('x');

   ylabel('y');

   title('Solution y(x)');

end

function dydx = f(x, y, z)

   dydx = z;

end

function dzdx = g(x, y)

   dzdx = -k / (2*y);

end

% Call the function to solve the differential equations

[x, y, z] = rungeKuttaMethod();

Learn more about differential equations click;

https://brainly.com/question/32645495

#SPJ4

The solution to the given system of linear equations lies in which quadrant?
x-3y - 6
x+y=2

Answers

Answer:

4th ?

First equation. Is it -6 or = 6 ?

Step-by-step explanation:

The solution to the given system of linear equations lies in which quadrant?x-3y - 6x+y=2

Answer:

D. quadrant IV

AL is tangent to circle O at point A, and AI is a secant line. If mAI=134, find m

AL is tangent to circle O at point A, and AI is a secant line. If mAI=134, find m

Answers

The calculated measure of IAL is 92 degrees

How to calculate the measure of IAL

From the question, we have the following parameters that can be used in our computation:

The circle

Given that

AI = 134 degrees

We have

IAL + 2 * AI = 360

Substitute the known values in the above equation, so, we have the following representation

IAL + 2 * 134 = 360

So, we have

IAL = 360 - 2 * 134

Evaluate

IAL = 92

Hence, the measure of IAL is 92 degrees

Read more about circles at

https://brainly.com/question/32192505

#SPJ1

Ms. Wong spent $9.20 to buy a total of 18 pens and pencils. A pen costs $0.80 and a pencil costs $0.40. How many pens did Ms. Wong buy?

Answers

pens 8 it should be right

Write the trigonometric ratio for cos x as a fraction and as a decimal rounded to the nearest hundredth

Answers

Answer:

its B

cos X= 12/15= 0.80

Step-by-step explanation:

i just took the test

proportionality means the slope of a constraint is proportional to the slope of the objective function. T/F

Answers

False. Proportionality between the slopes of a constraint and the objective function is not a general property in optimization. The relationship between these slopes depends on the specific problem and can vary.

The proportionality between the slopes of a constraint and the objective function is not a universal principle in optimization. It is true that in some cases, there may be a proportional relationship between these slopes. This means that if the slope of a constraint increases or decreases, the slope of the objective function will also increase or decrease by a proportional amount. However, it is important to note that this proportionality is not a fundamental characteristic of all optimization problems.

In many optimization problems, the slopes of constraints and the objective function may have different behaviors and may not be directly related. The slopes can vary independently based on the specific problem structure, constraints, and objective function. In some cases, the slopes may even have an inverse relationship, meaning that an increase in the slope of a constraint leads to a decrease in the slope of the objective function, or vice versa.

In conclusion, while proportionality between the slopes of a constraint and the objective function can occur in some optimization problems, it is not a general property and does not hold true for all scenarios. The relationship between these slopes is problem-dependent and can vary significantly.

Learn more about independently : brainly.com/question/31707382

#SPJ11

Prove if the test point (2,-3) is a solution to the system:3x+y≥ -3x+2y ≤ 4

Answers

To solve this question, we can substitute the given point into the inequalities. That is, by substituying x=2 and y=-3 into the first inequality, we obtain

\(3(2)+(-3)\ge-3\)

and the left hand side is equal to 6-3=3. Because 3>-3, the point (2,-3) can be a solution. However, we must be the same for the remaining inequality, that is, by substituying x=2 and y=-3 into the second inequality, we have

\(2+2(-3)\leq4\)

and the left hand side is equal to 2-6=-4, then -4<4.

With both results, we can conclude that the point (2,-3) is a solution of the system.

Ava has a large-screen TV. The TV has a screen with a 51-inch diagonal and a width of 45 in. The base of the TV is 4 in. from the bottom of the screen. 45 in. h in. 51 in 4 in. what is the total height,h,in inches, of the TV?

Answers

Answer: Height: 24.9 inch, Width: 44.3 inch

Step-by-step explanation:

The total height of the TV is given by H = 28 inches

What is a Triangle?

A triangle is a plane figure or polygon with three sides and three angles.

A Triangle has three vertices and the sum of the interior angles add up to 180°

Let the Triangle be ΔABC , such that

∠A + ∠B + ∠C = 180°

The area of the triangle = ( 1/2 ) x Length x Base

For a right angle triangle

From the Pythagoras Theorem , The hypotenuse² = base² + height²

if a² + b² = c² , it is a right triangle

if a² + b² < c² , it is an obtuse triangle

if a² + b² > c² , it is an acute triangle

Given data ,

Let the triangle be represented as ΔABC

Now , We can use the Pythagorean theorem to find the height of the TV. Let h be the height of the screen in inches. Then, we have:

h² + 45² = 51²

Simplifying and solving for h:

h² = 51² - 45²

h² = 2601 - 2025

h² = 576

Taking square roots on both sides , we get

h = √(576)

h = 24 inches

Therefore, the height of the screen is 24 inches.

To find the total height of the TV, we need to add the 4 inches from the base to the height of the screen:

Total height of the TV , H = 24 + 4

Total height of the TV , H = 28 inches

Hence , the total height of the TV is 28 inches.

To learn more about triangles click :

https://brainly.com/question/16739377

#SPJ2

The complete question is attached below :

Ava has a large-screen TV. The TV has a screen with a 51-inch diagonal and a width of 45 in. The base of the TV is 4 in. from the bottom of the screen. what is the total height,h,in inches, of the TV?

Ava has a large-screen TV. The TV has a screen with a 51-inch diagonal and a width of 45 in. The base

Which of the following functions is graphed below?
15
o
10
5
a
-8
-6
-4
-20
2
4
6
8
-5
ſx? +6,x 53
O A. y =
1-x+6,X> 3
B. y =
Sx? +6.x > 3
1-x+6, XS 3
O C. y-{*#6. x3
ſx? +6,x2 3
D. y =
= {-x+6, x<3

Answers

Answer:

It's B

Step-by-step explanation:

Functions can be represented by tables and equations

The function represented by the table is f(x) = x + 1

From the table, we have the following ordered pairs

(x,y) = (-1,0) (0,1) (1,2) and (2,3)

Notice that the difference between the x and y values is 1.

So, we have:

y - x = 1

Add 1 to both sides

y = x + 1

Express as a function

f(x) = x + 1

Hence, the function represented by the table is f(x) = x + 1

Read more about linear functions at:

https://brainly.com/question/15602982

Please help I will give you a cookie and brainliest

Please help I will give you a cookie and brainliest

Answers

Answer:

16 is the answer ....................

Answer:

9 i guess

Step-by-step explanation:

Solve for x to the nearest tenth!!!!

Solve for x to the nearest tenth!!!!

Answers

Answer:

√2685 is your answer

hope this will help you

You are asked to evaluate the food at a new restaurant on 7-point scales with bipolar adjectives such as good-bad and inexpensive-expensive. These measures represent what type of scale

Answers

The type of scale used to evaluate the food at a new restaurant on 7-point scales with bipolar adjectives such as good-bad and inexpensive-expensive is known as a Likert scale.

This type of scale is commonly used in surveys to measure attitudes and opinions towards a particular topic, in this case, the food at a new restaurant. A Likert scale consists of a series of statements or adjectives that respondents are asked to rate on a scale that ranges from strongly disagree to strongly agree or, in this case, from bad to good and from inexpensive to expensive.

The bipolar adjectives used in the scale allow for a clear distinction between the positive and negative aspects of the food, which helps to ensure that the responses are more accurate and meaningful. The 7-point scale provides a wider range of options than a binary scale, which allows for more nuanced and detailed responses.

To know more about likert scale click here

brainly.com/question/6370430

#SPJ11

Find the quotient. 2x - 3 over x divided by 7 over x^2

Find the quotient. 2x - 3 over x divided by 7 over x^2

Answers

The quotient include the following: D. \(\frac{x(2x-3)}{7}\)

What is a quotient?

In Mathematics and Geometry, a quotient is a mathematical expression that is simply used to represent the division of a number (numerator) by another number (denominator).

Based on the information provided above, we can logically deduce the following mathematical expression;

\(\frac{2x-3}{x} \div \frac{7}{x^2}\)

By rearranging the mathematical expression using the multiplication operation, we have:

\(\frac{2x-3}{x} \times \frac{x^{2} }{7}\\\\2x-3 \times \frac{x }{7}\\\\\frac{x(2x-3)}{7}\)

Read more on quotient here: brainly.com/question/748723

#SPJ1

Divide:
a)
b)
(4x4-12x³ + 7x² + 3x - 2) by (2x²-3x-2)
(x² + 4y¹) by (x² + 2y²-2xy)

Answers

How are the algebraic expressions divided?

a) (4x4-12x³ + 7x² + 3x - 2) by (2x²-3x-2) = (2x-1) (x-1)

Factorization of the numerator ,

\(4x^4-12x^3 + 7x^2 + 3x - 2\\\\= (4x^4+ 7x^2 - 2) -12x^3+3x\\\\= (4x^4- x^2+ 8x^2 - 2) -12x^3+3x\\\\=(4x^4- x^2)+ (8x^2 - 2) -12x^3+3x\\\\= x^2(4x^2- 1)+ 2( 4x^2 - 1) -12x^3+3x\\\\=(4x^2- 1)(x^2+2)-12x^3+3x\\\\=(4x^2- 1)(x^2+2)+(-12x^3+3x)\\\\=(4x^2- 1)(x^2+2)-3x(4x^2-1)\\\\=(4x^2- 1)(x^2+2-3x)\\\\=(4x^2- 1)(x^2-x-2x+2)\\\\=(4x^2- 1)((x^2-x)+(-2x+2))\\\\=(4x^2- 1)(x(x-1)-2(x-1))\\\\=(4x^2- 1)(x-1)(x-2)\\\\=(2x+1)(2x-1)(x-1)(x-2)\)-----(1)

Factorization the denominator ,

\((2x^2-3x-2)\\\\= (2x^2+x-4x-2)\\\\= (2x^2+x)+(-4x-2)\\\\=x(2x+1)-2(2x+1)\\\\=(2x+1)(x-2)\)                          ----(2)

Divide (1) by (2)

= \(\frac{(2x+1)(2x-1)(x-1)(x-2)}{(2x+1)(x-2)}\)

= (2x-1) (x-1)

b) (x² + 4y¹) by (x² + 2y²-2xy)

\(\frac{x^{2} +4y}{x^{2} +2y^{2} -2xy}\)

This is the simplest form of the algebraic expression.

To learn more about factoring algebraic expressions, refer:

https://brainly.com/question/28789735

#SPJ13

Other Questions
Bacteria that can cause tooth decay undergo boom and bust cycles based on the availability of sugars in the mouth for growth. Which of the following is/are resistance factor(s) affecting their carrying capacity? 3. Deep dynamic compaction is done usina a weight of 30 tons, drop height 80 {ft} , spacing 15 {ft}, 10 drops and 3 passes. Calculate the applied energy. a type of voltage-gated ion channel located on the axon terminal is called? 30 POINTS NEED HELP ASAP IN CLASS HURRY!! A sample of carbon monoxide and oxygen gasses areallowed to combust in a small flask. They reaction isdescribed by the following equation.2CO (g) + O (g) 2CO2 (g)After the reaction is complete, the pressure of CO is 0.868atm and the temperature is 35.0 C in a 500.0 mL flask. Howmany moles of CO2 were produced assuming that thereaction went to completion? Q: Find the control word to the following instructions control word the result is stored in R1, CW=? XOR R1,R2 CW=45B0 CW=45B3 CW=4530 CW=28B0 O CW=28A0 CW=28B3 1. ni | ni2 (0.100m) || fe3 (0.050m) , fe2 (0.050m) |pt a) give the balance chemical eq. b) calculate the cell potential c) why is platinum used as the electrode on the cathode side? 2( + 8)= + 20Which value of x makes the following equation true?A. -4B. 12C. 4D. 20 Which process can produce the most energy for a cell? * what is the great basin? I need help[ lolso like yeahhh help? (WILL GIVE BRAINLIEST IF CORRECT) What is -3(5+5)>5x? Menaha traveled 86km 520m by train and 11km 480m by car What ditance did he travel in all? Which of the following is equal to impulse?A. FtB. m/sC. ptD. mv Using what you have learned about series and parallel circuits, explain how some appliances in your kitchen receive power while others do not. (PLEASE HELP I NEED TO PASS THIS CLASS!!!) ...Work out the equation of the line which has a gradient of 3 andpasses through the point (-1, 3). the naturally made bath and body store pays $550 a month for rent and utilities. the average cost for its products to be manufactured is about $3.00 an item. if the average price for a product sold in the store is $5.50, what will the break-even point be? let x represent the number of products sold. the break-even point occurs when the cost function equals the revenue function. 550 3.00x young children typically try to stay very close to their parents when they are in an unfamiliar setting. this best illustrates the adaptive value of it is on SWRO plant with a capacity of 50000m3/day the tds of the feed is 41690ppm implying a chloride ion level of around 23000ppm the temperature of the feed is around 18C in March and 27C in September the reject has a tds of 64500ppm . the pressure is 70 bar, that plant started to produce water in June 2003 and corrosion problem appeared already few months of service, two type of corrosion could be established, one being crevice corrosion in 11/2" high pressure connector underneath victauling coupling example the same type of problem that have been corrosion in 316L and 317L high pressure piping seven out of 700 such connector were reported to have suffered this type crevice corrosion after 4 months only, provide the remedy to end the problem