Hi, please help me with the answers for the following questions. For this type of assignment, you make your own algebraic expression that completes the question "requirements"

1) The quotient of a trinomial and monomial in one variable.
2) A practical problem that involves the product or quotient of polynomials.

Answers

Answer 1

The quotient of a trinomial and monomial can be 9x² +2x + 1 while the product of the polynomials x² + 2x + 1 and 3x² - 1 is 3x⁴  + 6x³ + 2x² - 2x - 1

The quotient of a trinomial and monomial

Let the variable be x.

Trinomial are polynomials that have three terms, while monomials have a single term.

Using the above definition, we have:

Trinomial = 9x³ + 2x² + x

Monomial = x

The quotient of the above is represented as:

\(\frac{9x^3 +2x^2 + x}{x}\)

Evaluate the quotient

9x² +2x + 1

The product or quotient of polynomials

To do this, we make use of the following polynomials:

x² + 2x + 1 and 3x² - 1

The product is represented as:

(x² + 2x + 1) * (3x² - 1)

Expand

3x⁴ - x² + 6x³ - 2x + 3x² - 1

Evaluate the like terms

3x⁴  + 6x³ + 2x² - 2x - 1

Hence, the product of the polynomials x² + 2x + 1 and 3x² - 1 is 3x⁴  + 6x³ + 2x² - 2x - 1

Read more about polynomials at:

https://brainly.com/question/4142886

#SPJ1


Related Questions

You spin the spinner once.
2,3,4,5,6,7
What is P(6)?
Write your answer as a fraction or whole number.


Helps pls i did 120 questions

You spin the spinner once.2,3,4,5,6,7 What is P(6)?Write your answer as a fraction or whole number.Helps

Answers

Answer:

1/6

Step-by-step explanation:

it is like a cube just with slightly different numbers on each side. but the probabilty structure is still the same.

we have 6 different possible outcomes, all with the same basic probabilty (as every field on the spinner is seemingly of the same size as the others).

and we desire one of these possible outcomes (6).

so the probabilty to get 6 is still 1/6 (1 desired over 6 possible outcomes).

find the area of the shaded figure

find the area of the shaded figure

Answers

Answer:

I need degrees and numbers to figure out the answers

Solve for x.
x+6= √2x+29 +9

Answers

The solution to the equation is x = 10 or x = -2.

What is an equation?

An equation refers to a mathematical expression showing that two expressions are equal.

It must have variables (e.g. a, c, x, y), constants (like 1, 13, 50, etc), and mathematical operations (like +, -, *, /).

To solve for x, we shall start with the given equation:

x + 6 = √(2x + 29) + 9

Subtract 9 from both sides:

x - 3 = √(2x + 29)

Square both sides:

\((x - 3)^2\) = 2x + 29

Expand the left side:

\(x^2\) - 6x + 9 = 2x + 29

We then subtract 2x and 9 from both sides:

\(x^2\) - 8x - 20 = 0

Next, actor the quadratic equation:

(x - 10)(x + 2) = 0

Therefore, the equation x = 10 or x = -2

Learn more about equation at brainly.com/question/29174899

#SPJ1

What is the absolute value of -62

Answers

Answer: 62

|-62|=62

Explanation: The absolute value of a number which if solved creates a non-negative value.

PLZ HELLPPP!!!I would really apreciate it 25 POINTS!!!

PLZ HELLPPP!!!I would really apreciate it 25 POINTS!!!

Answers

you take the amount of days and multiply by 50! so if the days are d, and cost is c then c=50d
hope this helps, can i have brainliest!

2. The Consumer Products Safety Commission
recently found that 4 out of 5 cribs provided
at U.S. hotels are unsafe. What percentage
of the cribs are unsafe?
(1) 75%
(2) 80%
(3) 88%
(4) 90%
(5) 125%

Answers

Step-by-step explanation:

to find the percentage you have to take 5 as 100% so to find the percentage of 4 you have to divide 100 by 5 making 20%. then do 20 multiplied by 4 which is 80%. so the answer is 80^


Grayson can text 70 words in 4 minutes. At this rate, how many minutes would it take
him to text 140 words?

Fill out the table of equivalent ratios until you have found the value of x.


Words Minutes
——————————-
70 4

( ) ( )

140 X

Answers

The minutes taken by Grayson to text 140 words if Grayson can text 70 words in 4 minutes is 8 min.

What is division?

It is the basic arithmetic operation, in which you are separating the number into some parts.

Given:

Grayson can text 70 words in 4 minutes,

The time is taken to type one word = 4 / 70 = 0.057 min

Thus, typing 140 words Grayson would take  = 0.057 × 140 = 8 min

Therefore, the minutes taken Grayson to text 140 words if Grayson can text 70 words in 4 minutes is 8 min.

To know more about division:

https://brainly.com/question/27566440

#SPJ1

5. How much would d dollars earn in one year at thē rate of p percent compounded annually?

Answers

Answer:

a

Step-by-step explanation:

a

please help! I’m failing math and I never pay attention and I’m so confused on this one question if anybody cloud may I have the answer

this is the question⬇️⬇️⬇️


a snowplow driver cleared 20 streets in 55 minutes. How fast did he clear each street.

Answers

Answer:

2.75 minutes

Step-by-step

divide 55 by 20

Answer:

2.75 minutes/2 minutes and 45 seconds

Step-by-step explanation:

Divide: 55 divided by 20=2.75

2.75 minutes= 2 minutes and 45 seconds

The reason why you divide 55 divided by 20 is because you are trying to find how long it took you to clear 1 street.

And there are 20 streets and each street took you 2 minutes and 45 minutes to complete 1 street.

Hope this helped!! :)

Stay safe and have a wonderful day/night!!!!!

Please help with this

Please help with this

Answers

9514 1404 393

Answer:

3(11 -7) +4(-8)-20

Step-by-step explanation:

This is to help you learn to take advantage of the distributive property and the fact that multiplication can simplify repeated addition.

The numbers to be added include ...

3 values that are -74 values that are -83 values that are 11

This means we can add 11 and -7, and multiply the result by 3. It also means we can multiply -8 by 4. The sum of these products will be the same as the sum of the original 10-number set.

  3(11 -7) +4(-8) = 3(4) -32 = 12 -32 = -20

The Black Panther looks for Vibranium to put in his spear.He spends 3/5 of an hour searching.Over 4 days,about how many hours does he search for gemstones

Answers

Answer:

RIP chadwick

Step-by-step explanation:

Twelve hours because he’s a fast panther

Dominic‘s two daughters both want to take gymnastics this year it cost $80 per month per child how much does Dominic need to budget for a year (12 months )of gymnastics for both daughters 

Answers

Answer:

1920 buckaroons

Step-by-step explanation:

80 cost times 12 months times 2 people

Which expression would be easier to simplify if you used the associativeproperty to change the grouping?O A. (60 + 40) + (-27)O B. (2+ 3) + (-2)O c. [(-0.2) + (-0.6)] +1.7O D. 6+ (6 +(-3)

Answers

the associative property for sums is the next

\((x+y)+z\text{ = x+(y+z)}\)

In this case, if you see the letter B. you can use the commutative property and then the associative property to cancel the number 2, that is

\((2+3)+(-2)\text{ = (3+2)+(-2) = 3+(2+(-2))=3+0=3.}\)

This is the only option where you can do that.

8. The speed limits on various highways around Jefferson City are shown in the table below.
Speed Limits Around
Jefferson City
Highway
Speed Limit
(mph)
5
40
33
50
90
65
190
55
219
55
What is the mode of the speed limits?

8. The speed limits on various highways around Jefferson City are shown in the table below.Speed Limits

Answers

Answer:

55

Step-by-step explanation:

Mode is the value that appears the most in a set of data.

Since there is only one of each value except 55 that is your answer.

. Mira bought $300 of Freerange Wireless stock in
January of 1998. The value of the stock is expected
to increase by 7.5% per year. Use a graph to predict
the year the value of Mira's stock will reach $650.

Answers

To predict the year when the value of Mira's stock will reach $650, we can use the given information that the value of the stock is expected to increase by 7.5% per year. We can create a graph to visualize the growth of the stock value over time.

Let's assume that the x-axis represents the years starting from 1998 and the y-axis represents the value of the stock. We'll plot the initial value of $300 in January 1998 and then project the growth based on an annual increase of 7.5%.

Here's a rough representation of the graph:

```
| /
650| /
| /
| /
|/
|_________________
1998 1999
```

Based on this graph, it appears that the value of Mira's stock will reach $650 in the year 1999.

Please note that this is a simplified approximation based on the given growth rate and does not take into account factors such as market fluctuations or compounding. The actual year of reaching $650 may vary depending on various real-world factors.

make e the subject
e-5=2f

Answers

Answer:

e-5=2f

take '-5' to the other side where '2f' is

e=2f+5

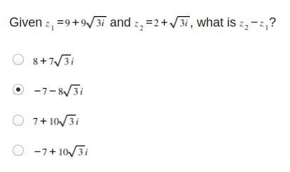
Plz hurry and help! I'm in a hurry!

Plz hurry and help! I'm in a hurry!

Answers

Answer:

-7 - 8√3i

Step-by-step explanation:

Given

z₁ = 9 + 9√3iz₂ = 2 + √3i

To find

z₂ - z₁

Solution

z₂ - z₁  = 2 + √3i - (9 + 9√3i) = 2 - 9 + √3i - 9√3i =-7 + (1 - 9)√3i =-7 - 8√3i

Second option is correct (you have selected it right)

Alguém pode me ajudar

Algum pode me ajudar

Answers

Answer:

x≤1

Step-by-step explanation:

Given parallelogram JKLM, complete the following statements.

Given parallelogram JKLM, complete the following statements.

Answers

Answer: the first 3 are 20, 5, 43. I dont know the others though


A circle has a radius of 15 inches. What is the
circumference of the circle?

Answers

Answer:

The circumference of the circle is approximately 94 inches.

Step-by-step explanation:

C=2(pi)r

C=2(pi)15

C=30(pi)

C=94.24

Rounded Answer: 94 inches

If p:q=3/4:2 and p:r=1/3:1/2 find p:q:r

Answers

Answer:

3/8

Step-by-step explanation:

\( \frac{p}{q} = \frac{ \frac{3}{4} }{ \frac{2}{1} } \\ \frac{p}{q} = \frac{3}{8} \)

\( \frac{p}{r} = \frac{ \frac{1}{3} }{ \frac{1}{2} } \\ \frac{p}{r} = \frac{2}{3} \)

\( \frac{ \frac{p}{q} }{r} = \frac{ \frac{3}{8} }{ \frac{2}{3} } \\ \frac{ \frac{p}{q} }{r} = \frac{9}{16} = \frac{3}{8} \)

I think this is just combining ratios soo..
P:q
3/4:2

P : Q : R
3/4 : 2. :
1/3. : : 1/2
————————-
1/3. : 4.5 : 1/2

3/4X 1/3= 4/12=1/3
3/4 / 1/3= 9/4= 2.25
2 X 2.25= 4.5

The ratio is

1/3 : 4.5 : 1/2

I came across a question in the pigeonhole principle that – Let S be a set of n integers. Show that there is a subset of S, the sum of whose elements is a multiple of n by pigeonhole.
How do I solve this question??

Answers

In this case the difference is a multiple of n and as you see the difference is still a sum of some integers subset  from 1 to n

What is subset?

If every element of set A is also an element of set B, then set B is a superset of set A and set A is a subset of set B. A and B could be equal; if they are not, then A is a legitimate subset of B. Include refers to the property that one set is a subset of another.

Consider the set{a1,a1+a2,a1+a2+a3,...,a1+a2+...+an}You have a set of n elements .If all remainders in dividing by n, are different, one of the remainders is 0 and we are done .Otherwise two remainders are the same.

In this case the difference is a multiple of n and as you see the difference is still a sum of some integers from 1 to n However I think it would be natural to consider the set{0,a1,a1+a2,a1+a2+a3,…,a1+a2+⋯+an}of n+1 elements, so that there is only one case instead of two.

Learn more about subset :

brainly.com/question/13265691

#SPJ4

100 Points!!! Algebra question, only looking for answer to last two. Graph each system of equations and describe it as consistent and independent, consistent and dependent, or inconsistent. Photo attached. Thank you!

100 Points!!! Algebra question, only looking for answer to last two. Graph each system of equations and

Answers

1) y = -3x and y = -3x + 2: inconsistent system of equations.

2) y = x - 5 and -2x + 2y = - 10: consistent and independent.

3) 2x - 5y = 10 and 3x + y = 15 : consistent and independent.

Explain about the consistent and inconsistent system of equations?If there is at least one solution, an equation system is considered consistent. If there is no solution, a system is inconsistent.If one equation is a multiple of the other in a pair of equations that have two variables, both equations are dependant. Every point in dependent systems is a potential solution, giving them an endless number of solutions.

The given equation are:

The graph for each system of equations is plotted.

1) y = -3x and y = -3x + 2

From the graph 1 it is shown that the lines for the each equation form the parallel lines.

Thus, system of equations are inconsistent.

2) y = x - 5 and -2x + 2y = - 10

From the graph 2 it is shown that the lines for the each equation form the coincident lines.

Thus, system of equations are consistent and independent.

3) 2x - 5y = 10 and 3x + y = 15

From the graph 2 it is shown that the lines for the each equation form the coincident lines.

Thus, system of equations are consistent and independent.

Know more about the inconsistent system of equations

https://brainly.com/question/19282045

#SPJ1

100 Points!!! Algebra question, only looking for answer to last two. Graph each system of equations and
100 Points!!! Algebra question, only looking for answer to last two. Graph each system of equations and
100 Points!!! Algebra question, only looking for answer to last two. Graph each system of equations and

Write the fraction as a sum of unit fractions. 6/12=

Answers

Answer:

This is the answer: 1/2

Step-by-step explanation:

hope this helps

EXREAMLY URGENT!! WILL FOREVER THANK YOU!!!! PLS JUST TAKE A LOOK!!!!! 20. What is the area of triangle XWZ?

EXREAMLY URGENT!! WILL FOREVER THANK YOU!!!! PLS JUST TAKE A LOOK!!!!! 20. What is the area of triangle

Answers

Answer:

72√3

Step-by-step explanation:

30 60 90 triangles are what you start out with.

Step 1: 30-60-90

x = 12

WZ = 12√3

Step 2: Area formula

A = 1/2(12)(12√3)

*Since the 2 30-60-90 triangles are congruent, both segments of the base are 12

Plug it into the calc and you should get A = 72√3 as your final answer!

Writing
Tammy bought some books. She spent a total of $45 after a discount of S6 off of her total purchase. Each book cost $3. How many books did she buy?
(a) Write an equation that could be used to answer the question above.
First, choose the appropriate form. Then, fill in the blanks with the
numbers 45, 6, and 3. Let b represent the number of books.
X
5
o 16+ = 0
(b) Solve the equation in part (a) to find the number of books.
b = 0

Answers

Answer:

b=17

Step-by-step explanation:

b=(45+6)/3

b=51/3

b=17

she bought 17 books since the original price of evereything was 51 dollars before the discount of 6 dollars.

Overview
13
14
15
16
17
18
19
2
Question Progress
Homework Progress
22/44 Marks
Round the number 125.3546 to 1 decimal place.

Answers

Answer:

125.4

Step-by-step explanation:

Given

\(Number = 125.3546\)

Required

Round to 1 decimal place

Up till the first decimal place, the number is:

\(Number = 125.3\)

The digit after .3 is 5

The conditions for approximation are:

If n > 4, approximate to 1Else: approximate to 0

In this case: 5 > 4, so we approximate to 1

Add this "1" to the last digit of 125.3. This becomes 125.4

Hence: when the number is approximated to 1 decimal place, the digit is 125.4

Terrence made a scale drawing of a boarding school. The scale he used was
7 centimeters: 3 meters. If the actual length of a building at the school is 300 meters, how
on is the building in the drawing?

Answers

The building in the drawing is 700 centimeters or 7 meters.

Define the unitary method.

The unitary method is a technique for solving a problem by first finding the value of a single unit, and then finding the necessary value by multiplying the single unit value.

What are ratios and proportions?

An ordered pair of integers a and b, represented as a / b, is a ratio if b is not equal to 0. A proportion is an equation that sets two ratios at the same value. For instance, you might express the ratio as follows: 1: 3 if there is 1 boy and 3 girls (for every one boy there are 3 girls) There are 1 in 4 boys and 3 in 4 girls.

Given 3 meters on real is equal to 7 centimeters on drawing

i.e. 3 meters=7 centimeters

or, 1 meter = 7/3 centimeters

We need to find reading for 300 meters so,

or, 300 meters=7/3*300 centimeters

                        =700 centimeters or 7  meters

Therefore the building in the drawing is 700 centimeters or 7 meters.

To know more about equation visit:

brainly.com/question/29657983

#SPJ1

The amount C in grams of carbon-14 present in a certain substance after t years is given by
C = 52e-0.0001097
a. What is the initial amount of carbon-14 present?

Answers

Answer:

987e-628479.9079083

Step-by-step explanation:

Answer:

maybe 7

Step-by-step explanation:

Which of the following statements are true?
Select all that apply.
A. 4 is a perfect cube.
B. 16 is a perfect square.
C. 2,197 is both a perfect square and a perfect cube.
D. 8 is a perfect cube.
E. 18 is neither a perfect square nor a perfect cube.

Answers

The statements that are true are B and D.

Given are some statements we need to check which is true.

Let's analyze each statement:

A. 4 is a perfect cube.

False. 4 is not a perfect cube because there is no integer that can be cubed to give 4.

B. 16 is a perfect square.

True. 16 is a perfect square because it can be expressed as 4^2, where 4 is an integer.

C. 2,197 is both a perfect square and a perfect cube.

False. 2,197 is not a perfect square because there is no integer that can be squared to give 2,197.

However, it is a perfect cube because 13³ equals 2,197.

D. 8 is a perfect cube.

True. 8 is a perfect cube because it can be expressed as 2³, where 2 is an integer.

E. 18 is neither a perfect square nor a perfect cube.

True. 18 is neither a perfect square nor a perfect cube because there is no integer that can be squared or cubed to give 18.

Therefore, the statements that are true are B and D.

Learn more about perfect cube and perfect square click;

https://brainly.com/question/13326108

#SPJ1

Other Questions
Imagine we are studying a consumer choosing between two appliances.Appliance A has a sticker price of $25 but has a 1-time future operating cost of 100. (This means you will face a bill for $100 exactly one year after purchasing it.)Appliance B has a sticker price of $20 but has a 1-time future operating cost of 110. (This means you will face a bill for $100 exactly one year after purchasing it.)The discount rate is 10%.a. What is the Net Present Operating Cost of Appliance A? (Don't add the purchase prices just yet.)b. What is the Net Present Operating Cost of Appliance B? (Again don't add the purchase price yet.)c. If the consumer is perfectly rational and displays no energy paradox, which appliance will she chose? (Now consider also consider the purchase price.)d. If the consumer displays an energy paradox where she only recognize half the value of the future costs, which will she chose? Problem 3 (15') 10 kg of R-134a fills a piston-cylinder device at a temperature of 24 C and volume of 1.595 m 3 . (a) Determine the initial phase and pressure of the system. (b) The container is now heated until the temperature is 90 C. Determine the final volume when the heating is completed. (Hint: is it a constant-pressure process?) (c) Plot the heating process in P-v diagram with saturation lines and initial/final states. If you are learning to juggle it would be good to slow the ball's acceleration. You can do this by using: A. Lighter balls B. Heavier balls C. More balls D. None of the above HELP a car travels 60 miles an hour how far will it travel in 5 hours____ miles during the construction of the transcontinental railroad in the united states, cities on the coasts were cut off from the rest of the country. many pe If the weekly community press tribune has a paid circulation of 3,000, distributes 500 free copies each week, and estimates that 4. 5 people read each copy, how many people read the paper each week? please please please help!!ILL GIVE BRAINLIST!! What is the importance of understanding value as to reasoning? Calendaritem -month int -day int +Calendaritem(int, int) +move(int, int) ivoid +tostring() istring Meeting Birthday -time: String -name:String +birth_year: int-participants: ArrayList+Meeting (int, int, String) +Birthday (String, int, int) +addParticipant (String):void +move(int, int, String):void +toString(): String Based on the UML diagrams shown above, write complete Java class for Birthday, as follows: C) Birthday1. Define the class and its attributes. Note that Birthday is a subclass of Calendaritem [0.5 pt] 2. Implement the constructor, which takes 3 parameters for the name, day, and month, and set these values correctly [1 pt) 3. Implement the toString() method to return a string in the following format: name's birthday is on day/month [1 pt) What statement best reflects the authors purpose for writing the text Can someone please tell me Whats 2=m/2 -7 ? which hormone produced by fat cells is one of the important regulatory signals for long-term weight maintenance? What are the primary responsibilities of a local school board ?. Which resource serves as a guide to the federal government's emergency response?Select one:Healthcare ReadyStrategic National StockpileNational Response FrameworkModel Rules for Public Health Emergencies Find the mass of an object that has a density of 1.5 cm3 and has a volume of 8 cm3 briefly describe the pros and cons of a modest allocation to emerging markets bonds for risk-tolerant investors. assume the currency risk will be hedged. For a customer of Lush, how will their MVV translate to your experience? For an employee of Lush, for example a shop worker how might the companies MVV affect your working life, your daily experience and your perspective of the business? 2x - y = 202x + y = 48 The most important reason why a full physical health assessment is warranted for clients with depressive symptoms is that:________ Lesley is baking cookies. She makes one batch using 1 1/4 cups sugar and 1 1/2 cups flour.Lesley needs to bake an additional smaller batch of cookies.To make this new batch of cookies, she uses 1 cup of sugar.Using this ratio, how many cups of flour should Lesley use in the new batch of cookies?