I Need help with this question

I Need Help With This Question

Answers

Answer 1

Answer:

The answer is A.

Step-by-step explanation:

For this graph, you are using the linear equation formula: y = mx + b

m is the slope (rise/run)b is the y-intercept (where the line crosses zero at the y-intercept)


Related Questions

What is the correct way to reach a decision regarding a hypothesis test based on a confidence interval

Answers

Answer:

this is a multiple choice question and the answer to this question has been highlighted in bold letters.

Based on a confidence interval, the best way to get a decision on a hypothesis test is for you to fail to reject the null hypothesis (that is, you will have to accept the null hypothesis) if the hypothesized value for the parameter that is being tested is within the confidence interval.

Which statement about the location of √7 on the number line is true?
A= It is located at the number 7 on the number line.
B= It is located at the number 3.5 on the number line.
C= It is located between the numbers 2 and 3 on the number line.
D=It is located between the numbers 4 and 9 on the number line

Answers

Answer is C) it is located between the numbers 2 and 3 on the number line

Explanation

The square root of a number is “what number times itself”

2 x 2 = 4

3 x 3 = 9

7 is between 4 and 9 so C is the correct answer

Three friends; Ghanem, Bilal and Rashed, applied for admission at ZU. Define G for "Ghanem is accepted" and G' for "Ghanem is not accepted". Similarly, you can define B & B' for Bilal and R & R' for Rashed. What is the sample space for the acceptance outcomes of the three friends?


a- S={G, B, R, G', B', R'}


b- S={GBR, GBR', GB'R, GB'R', G'BR, G'BR', G'B'R, G'B'R'}


c- S={G, GB, GBR, G', G'B', G'B'R'}


d- S={GBR, GBR', GB'R, G'BR, G'B'R, G'B'R'}

Answers

The sample space for the acceptance outcomes of the three friends is S={G, B, R, G', B', R'}. Therefore, option A is the correct answer.

What is a sample space?

A sample space is a set of potential results from a random experiment. The letter "S" is used to denote the sample space. Events are the subset of possible experiment results. Depending on the experiment, a sample area could contain a variety of results.

Given that, Ghanem, Bilal and Rashed, applied for admission at ZU. Define G for "Ghanem is accepted" and G' for "Ghanem is not accepted". Similarly, you can define B & B' for Bilal and R & R' for Rashed.

Sample space of accepted ={G, B, R, G', B', R'}

Therefore, option A is the correct answer.

Learn more about the sample space here:

brainly.com/question/28043513.  

#SPJ1

Markus is finding that it takes too long to track down all of the groceries he needs to buy from a given store. GroceryGrabbr to the rescue! The app allows Markus to input his shopping list and search for his local grocery store in GroceryGrabbr's database. If his grocery store is there, Markus is all set to go! The database stores grocery items, cost, and item location information for each grocery store. When Markus walks into the store, a notification pops up on his smartphone letting him know that GroceryGrabbr is ready to get to work. Each of Markus' grocery items is displayed one at a time, along with the aisle number and shelf location. After Markus grabs his items off the shelf, he hits a button on the app to navigate to the next item. The list of items is arranged so that Markus follows the most efficient path through the grocery store. When Markus finishes shopping, the total amount of money his groceries cost is displayed, which allows him to double check the total cost with the cashier. GroceryGrabbr pays grocery stores a small amount of money for each user who successfully uses the app and checks out of the store with over one hundred dollars worth of groceries.
Which of the following data must be obtained from the user's smartphone in order for GroceryGrabbr to suggest the order for picking up groceries?
a) the grocery list the user input
b) the location of the grocery store
c) the user's photo album on their smartphone
d) the user's current location

Answers

Answer:

A. The grocery list the user input

Step-by-step explanation:

Ryan runs cross-country. The equation d = 200t models the distance, d, in meters Ryan runs in t minutes. Use the equation to complete the table. A = type your answer... B = type your answer... C = type your answer... D = type your answer... Time (t) 0 1 2 3 Distance (d) A MUA​

Answers

The numeric values of the function modeled by the proportional relationship d = 200t are given as follows:

t = 0, A = 0.t = 1, B = 200.t = 2, C = 400.t = 3, D = 600.

How to calculate the numeric value of a function or of an expression?

To calculate the numeric value of a function or of an expression, we substitute each instance of any variable or unknown on the function by the value at which we want to find the numeric value of the function or of the expression presented in the context of a problem.

The function for this problem is given as follows:

d = 200t.

Hence the numeric values of the function are given as follows:

t = 0, A = 0. -> 200 x 0 = 0.t = 1, B = 200. -> 200 x 1 = 200.t = 2, C = 400. -> 200 x 2 = 400.t = 3, D = 600. -> 200 x 3 = 600.

Learn more about the numeric values of a function at brainly.com/question/28367050

#SPJ1

Identify the following series as arithmetic, geometric, both, or neither. ​

Identify the following series as arithmetic, geometric, both, or neither.

Answers

I think that is arithmetic i not totally sure

Answer:

arithmetic

Step-by-step explanation: Hope this helps :)

A number cube numbered 1-6 is rolled 30 times and lands on an even number 18 times.
How does this frequency compare to the expected frequency based on the probability of
the number cube landing on an even number?
The frequency is 15 more than expected.
The frequency is 13 more than expected.
The frequency is 9 more than expected.
The frequency is 3 more than expected.
Done →

Answers

Given statement solution is :- The correct answer is: The frequency is 3 more than expected.

To determine the expected frequency of landing on an even number when rolling a fair six-sided number cube, we need to calculate the probability of landing on an even number and multiply it by the total number of rolls.

The number cube has six possible outcomes: 1, 2, 3, 4, 5, and 6. Of these, three are even numbers: 2, 4, and 6. Therefore, the probability of rolling an even number is 3/6, which simplifies to 1/2 or 0.5.

The expected frequency can be found by multiplying the probability by the total number of rolls:

Expected frequency = Probability of landing on an even number × Total number of rolls

Expected frequency = 0.5 × 30 = 15

Now, we can compare the expected frequency (15) to the actual frequency (18) given in the problem statement.

The actual frequency is 18, and it is 3 more than the expected frequency (18 - 15 = 3).

Therefore, the correct answer is: The frequency is 3 more than expected.

For such more questions on Frequency Difference

https://brainly.com/question/13193436

#SPJ8

Let f(x) = –7x + 9. Suppose you add 2 to the input of f to create a new function g, then multiply the output of function g by –3 to create function h. What are the slope and y-intercept of the graph of function h?

Answers

We will see that the linear function h(x) is:

h(x) = -21x - 15

The slope is -21, and the y-intercept is -15.

What are the slope and y-intercept of function h?

Remember that a general linear function is:

y = a*x + b

Where a is the slope and b is the y-intercept.

Here we start with the linear function:

f(x) = -7x + 9

First, we need to add 2 to the input of f (the input is x) to get function g(x), so we have:

g(x) =f(x + 2)

Replacing the actual function we will get:

g(x) = -7*(x + 2) + 9

Now we multiply the output of function g by 3 to get h(x), then:

h(x) = 3*g(x)

We will get:

h(x) = 3*[-7*(x + 2) + 9]

h(x) = -21*(x + 2) + 27

h(x) = -21x - 42 + 27

h(x) = -21x - 15

So we can see that the slope of function h(x) is -21, while the y-intercept is -15.

Learn more about linear functions by reading:

https://brainly.com/question/4025726

#SPJ1

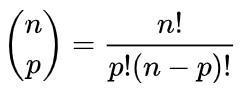
The n = 3 row of Pascal's Triangle has the following entries: 1, 3, 3, and 1TrueFalse

Answers

Ok, in the Pascal Triangle, the element in the row number n and column number p is given by:

So let's take n=3 and find all the entries of that row. We are going to use 0, 1, 2 and 3 as possible values for p.

For p=0:

\(\frac{3!}{0!(3-0)!}=\frac{6}{1\cdot3!}=\frac{6}{6}=1\)

For p=1:

\(\frac{3!}{1!\cdot(3-1)!}=\frac{6}{2!}=\frac{6}{2}=3\)

For p=2:

\(\frac{3!}{2!\cdot(3-2)!}=\frac{6}{2\cdot1!}=\frac{6}{2}=3\)

And for p=3:

\(\frac{3!}{3!\cdot(3-3)!}=\frac{3!}{3!\cdot0!}=\frac{3!}{3!}=1\)

So the four entries in the third row of Pascal's Triangle are 1, 3, 3 and 1 so the statement is true.

The n = 3 row of Pascal's Triangle has the following entries: 1, 3, 3, and 1TrueFalse

Solve the following inequality: 3-5x-x^2>=0

Answers

Answer:

-5/2+-1/2√37≤x≤-5/2+1/2√37

Step-by-step explanation:

Step 1: Find the critical points

-x^2-5x+3=0

For this equation: a=-1, b=-5, c=3

−1x^2+−5x+3=0

x=−b±√b2−4ac/2a

x=−(−5)±√(−5)2−4(−1)(3)/2(-1)

x=5±√37 /−2

x=-5/2+1/2√37

Step 2: Check intervals in between critical points

x≤-5/2+1/2 √37 (Doesn't work in original inequality)

-5/2+-1/2√37≤x≤-5/2+1/2√37 (Works in original inequality)

x≥-5/2+1/2 √37 (Doesn't work in original inequality)

Can y’all help me on question 24?!

Can yall help me on question 24?!

Answers

Answer:

C

Step-by-step explanation:

:) glad I could help! Give Brainiest answer if you can! It doesn't cost you and it would make my day! :D

Can yall help me on question 24?!
Can yall help me on question 24?!

Answer:

b

helpful answer to your question

The map shows an obstacle course at a school fair. The units are given in yards.
What is the total distance of
the obstacle course?
? yards
Start
(-40, -10)
Tire
Race
(-40, -30)
Finish
(10, 20)
Monkey
Bars
(40,20)
Rope
Climb
(40,-30)

Answers

The total distance of the obstacle course can be calculated by finding the distance between each pair of consecutive points and adding them up. The distance between two points (x1, y1) and (x2, y2) can be calculated using the formula: distance = sqrt((x2 - x1)^2 + (y2 - y1)^2).

Using this formula, we can calculate the distances between each pair of consecutive points as follows:

Start to Tire Race: distance = sqrt((-40 - (-40))^2 + (-30 - (-10))^2) = 20 yards

Tire Race to Rope Climb: distance = sqrt((40 - (-40))^2 + (-30 - (-30))^2) = 80 yards

Rope Climb to Monkey Bars: distance = sqrt((40 - 40)^2 + (20 - (-30))^2) = 50 yards

Monkey Bars to Finish: distance = sqrt((10 - 40)^2 + (20 - 20)^2) = 30 yards

Adding up all these distances, we get a total distance of 20 + 80 + 50 + 30 = 180 yards for the obstacle course.

please complete the worksheet

please complete the worksheet

Answers

Answer:

9. FEG is 65 and HEG is 115

Step-by-step explanation:

For FEG you can get this by doing supplementary angle and simply subtracting 180-115. For HEG, you realize that it is a vertical angle and from there you know that it is the same angle as DEF

Can someone tell me the answer?

A-31

B-59

C-62

D-117

Can someone tell me the answer? A-31B-59C-62D-117

Answers

The measure of angle x of the quadrilateral inscribed in a circle is x = 31°

Given data ,

Let the quadrilateral be ABCD inscribed in a circle

Now , the measure of angles of the quadrilateral are

Opposite angles are supplementary: A + C = 180° and B + D = 180°.

Adjacent angles are supplementary: A + B = 180°, B + C = 180°, C + D = 180°, and D + A = 180°

And , the sum of opposite angles is always equal to 180°

So , the measure of 118° + 2x° = 180°

On simplifying , we get

2x = 62

Divide by 2 on both sides , we get

x = 31

Hence , the angle is solved and x = 31

To learn more about circle click :

https://brainly.com/question/28391204

#SPJ1

Read the following prompt and type your response in the space provided.
Give an example of a problem involving multiplication of fractions that can be made easier using the associative property. Explain how it makes the problem easier.

Answers

An example of a question that can be solved using the associative method is : (2/5) * (3/4) * (5/6)

How to use the associative property

One example of a problem involving multiplication of fractions that can be made easier using the associative property is:

(2/5) * (3/4) * (5/6)

Using the associative property of multiplication, we can change the grouping of the fractions to make the problem easier. The associative property states that the way we group the numbers being multiplied does not change the product. For example,

(2/5) * (3/4) * (5/6) = (2/5 * 3/4) * (5/6) = (6/20) * (5/6) = 30/120

This simplification makes it easier to see that the final answer is 1/4.

By using the associative property, we can first multiply (2/5) * (3/4) = (6/20) which is easier to cancel out the common factor and then multiply it with (5/6) = (5/6) * (6/20) = (30/120) = 1/4 which is the final answer

Read more on associative property here:. https://brainly.com/question/13181

#SPJ1

HELP!

I’m having a hard time solving this.

Log x + log (x+15)=2

Answers

Answer:

Step-by-step explanation: log x +log x +log15=2

2log x=2-log 15

log x= 0.823/2

x=antilog (0.411)

x=2.58

A rectangle has a perimeter of 28 feet. The width of the rectangle is two foot less than the length of the rectangle. What is the width of the rectangle?

Answers

Step-by-step explanation:

perimeter of a rectangle = 2×length + 2×width = 28 ft

width = length - 2

length = width + 2

2×(width + 2) + 2×width = 28

2×width + 4 + 2×width = 28

4×width + 4 = 28

4×width = 24

width = 6 ft

and the length is width + 2 = 6+2 = 8 ft.

8. What is the slope of the line?

A. 0

B. 1

C. Infinity

D. Undefined

8. What is the slope of the line?A. 0B. 1C. InfinityD. Undefined

Answers

Answer is A. Slope is zero (0)

Because y=2 is a horizontal line, there is no rise

Answer:

0.

Step-by-step explanation:

The slope of the line is defined as the change of elevation of the line (\(\frac{rise}{run}\)).

In this case, there is no change in the slope as the line continues across (0 , 2), meaning that the slope of the line is 0.

If the slope of the line is 1, then the line will have (rise 1/run 1), meaning that it will have a linear slope. (See attached image).

Vertical lines have infinite slope, and so can also be called undefined as it moves neither left or right, giving it no run.

Learn more about slope of lines, here:

https://brainly.com/question/11798693

8. What is the slope of the line?A. 0B. 1C. InfinityD. Undefined

(2+6 +8+54 +...);S 12

Answers

what is the equation?

Simple Random Sample of Size 25:
Chances are, since you are studying AP Statistics, you plan to earn at least a bachelor's degree from college. According to the U.S. Census Bureau, 29% of Americans age 25 years or older have already earned a bachelor's or more advanced degree. You decide to randomly select 58 adults over the age of 25 to ask if they have earned at least a bachelor's degree. Describe the sampling distribution of the proportion of respondents who have earned at least a bachelor's degree.

Answers

Answer:

By the Central Limit Theorem, it is approximately normal with mean 0.29 and standard deviation 0.0596

Step-by-step explanation:

Central Limit Theorem

The Central Limit Theorem estabilishes that, for a normally distributed random variable X, with mean \(\mu\) and standard deviation \(\sigma\), the sampling distribution of the sample means with size n can be approximated to a normal distribution with mean \(\mu\) and standard deviation \(s = \frac{\sigma}{\sqrt{n}}\).

For a skewed variable, the Central Limit Theorem can also be applied, as long as n is at least 30.

For a proportion p in a sample of size n, the sampling distribution of the sample proportion will be approximately normal with mean \(\mu = p\) and standard deviation \(s = \sqrt{\frac{p(1-p)}{n}}\)

According to the U.S. Census Bureau, 29% of Americans age 25 years or older have already earned a bachelor's or more advanced degree.

This means that \(p = 0.29\)

You decide to randomly select 58 adults over the age of 25 to ask if they have earned at least a bachelor's degree.

This means that \(n = 58\)

Describe the sampling distribution of the proportion of respondents who have earned at least a bachelor's degree.

By the Central Limit Theorem, it is approximately normal with mean \(\mu = p = 0.29\) and the standard deviation is \(s = \sqrt{\frac{p(1-p)}{n}} = \sqrt{\frac{0.29*0.71}{58}} = 0.0596\)

Simplify.
(100/144)^1/2

Answers

Answer:

(100/144)^1/2=5/6

Step-by-step explanation:

✓100/144=√10×10/12×12=10/12=5/6

Answer:

(25/36)^1/2

√25/36

5/6

A ballistic missile travels at a speed of 3000 feet per second. How many miles can the missile travel in 1 hour?

*SHOW WORK WITH ANSWER PLEASE*

Answers

Well, first you would convert 1 hour into seconds which is 3600 secs.

to find how far it travels in 3600 seconds, do 3000ft * 3600sec which is 10,800,000ft.

you convert that into miles and you get the answer.

1 mile = 5280ft.

10,800,000ft / 5280 = 2045.45miles

Therefore the mission goes 2045.45 miles in 1 hour or 2045.45/mph
hope this helps

15 POINTS+BRAINLIEST (Hurry now) A train goes past you in 10 seconds and goes past a 100 meter long bridge in 30 seconds. What is the length (in meters) and the speed (inm/s) of the train?

Answers

Answer:

speed=3.33m/s

Step-by-step explanation:

speed= distance÷time

3.33 m/s

length = ?

Answer:

Length  : 50m

Speed   : 5 m  /  s

im sorry if im too late :'(

Round 47,250 to nearest ten thousand

Answers

Answer:

That would be 50,000

Step-by-step explanation:

Hope this helps :)

Which product costs the most per ounce?

Which product costs the most per ounce?

Answers

Answer:

Jose's cereal

Step-by-step explanation:

Per ounce:

Betty's cereal= 0.06 dollars (6 cents)

Jose's cereal = 0.09 dollars (9 cents)

Bob's cereal= 0.06 dollars (6 cents)

Betty's cereal and Bob's cereal cost the same amount per ounce (6 cents).

Jose's cereal costs 9 cents which is greater than 6 cents.

Jose's cereal costs the most per ounce

help help help help help help

help help help help help help

Answers

Answer:

no, its an acute triangle

Step-by-step explanation:

Answer:

This is not a right triangle

Step-by-step explanation:

The reason as to why this is a right triangle is because I used the equation a2 + b2 = c2.    * = 2

24* + 42*= 2340

26*= 676

2340 is not the same as 676

Therefore the triangle is not a right triangle

il. Janelle prepared 3 chocolate cakes
and 5 white cakes for a birthday
party. At the party, 2 of the
chocolate cakes and 3 of the white
cakes were eaten. Janelle and her
family later ate
of the cakes left
over. What fraction of each of the
cakes is still left?

Answers

Answer:

the chocolate cake is 1 and the white cakes is 2 so the cakes is 3 all

Completed
✓ Completed
Completed
✓ Completed
Completed
In a baseball field, the arc that divides the outfield from the infield has a radius of 95 feet measured from the pitching rubber. The degree
measure of the arc is about 145. What is the length of the arc to the nearest foot?
A
481 ft
B. 13,775 ft
C. 180 ft
D. 240 ft
Back
Net
on
4

Answers

Answer:

240

Step-by-step explanation:

does working at a constant rate always indicate a linear relationship between time and the amount work done

Answers

Answer:

yes

Step-by-step explanation:

31-+=16

28+b=50

33+c=54

52-n+=24

Answers

The solution to the equations are b = 15, b = 22, c = 21 and n = 28

How to determine the solution to the equations

From the question, we have the following equations that can be used in our computation:

31 - b = 16

28 + b = 50

33 + c = 54

52 - n = 24

Next, we collect the like terms in each of the equation

This gives

b = 31 - 16

b = 50 - 28

c = 54 - 33

n = 52 - 24

Lastly, we evaluate the like terms

b = 15

b = 22

c = 21

n = 28

The above are the solutions to the equations

Read more about equations at

https://brainly.com/question/148035

#SPJ1

Question

Solve the following equations:

31 - b = 16

28 + b = 50

33 + c = 54

52 - n = 24

Other Questions
What are the 4 steps to copy and paste? What aspects of an international market might cause you tosettle on an entry mode which gives you less control over how yourproduct is marketed but requires less investment of resources? True or false the inner core is liquid and outer core is solid if colgate wants to devise a pricing strategy that is incentive compatible between consumer types and will maximize its profit, then it should A bouncy ball is dropped such that the height of its first bounce is 4.5 feet and eachsuccessive bounce is 73% of the previous bounce's height. What would be the heightof the 10th bounce of the ball? Round to the nearest tenth (if necessary). 31. A force directed 50.0 below the positive -axis has an x component of 5.00 lb. Find it y component. The area of a parallelogram with a side of 5.6in. is equal to the area of a rectangle with a sides 7in. and 8in. estimate 70 divided 30 This is 10 points plz help ( NO LINKS )( ONLY ANSWER THIS IF YOU HAVE AN EXPLANATION AND IF YOU KNOW WHAT THE ANSWER IS) Help on this plzzz:(:(( a rectangular prism is 9 yards long, 16 yards wide, and 6 yards high. what is the surface area of the rectangular prism? PLEASE I NEED HELP HURRY Calculate the percent change in the annual total msw recycled from 1960 to 2000 in the united states. Show your work The wheels on a bike have a diameter of 26 inches. How many full revolutions will the wheels need to make to travel 100 feet? HELP MEWhich statement best describes an argument made in "President John F. Kennedy's Speech at Rice University? When you multiply a number by 25, subtract the result from 2000, and divide everything by 5, you will get 150. What is the initial number? What is the central idea of the section "The Problem With Sugarcane?" Mayerlin was out at a restaurant for dinner when the bill came. Her dinner came to $13. She wanted to leave a 30% tip. How much was her meal plus the tip, before tax, in dollars and cents? Discuss the following topic(s)1.The outlook of the worlds economy after COVID-19pandemic2. how does the worlds economy affect Malaysiaseconomy during the COVID-19 pandemic? 1. (5 Points each; 10 Points in total) Find an approximation of 2 using a bisection method with the following steps. (a) Set up a function f(x) to find it (b) Fill the following table to find p4 on the interval (a, b) where a = 1 and b = 2. n an bn Pn f(Pn) 1 2 3