If a dynamic programming algorithm is to fill in an M-by-N table, then the running time of this algorithm isO(MN).T/F

Answers

Answer 1

The statement that the running time of a dynamic programming algorithm to fill in an M-by-N table is O(MN) is true.

The algorithm fills in each cell of the table one at a time, resulting in M*N operations, and the time complexity of the algorithm is proportional to the size of the table being filled.

When using a dynamic programming algorithm to fill in an M-by-N table, the running time of the algorithm is O(MN). This is because the algorithm fills in each cell of the table one at a time, which requires M*N operations. Since each operation takes a constant amount of time, the running time of the algorithm can be expressed as O(MN). Therefore, the time complexity of this dynamic programming algorithm is proportional to the size of the table being filled, which is M*N.

To know more about dynamic programming visit:

brainly.com/question/30868654

#SPJ11


Related Questions

In the figure show, what's the distance from point H to point C?

A. 2'
B. 18'6"
C. 18'
D. 2'6"

In the figure show, what's the distance from point H to point C?A. 2'B. 18'6"C. 18'D. 2'6"

Answers

Answer:

B.

Explanation:

I think not sure hehe

What are the four categories of engineering materials used in manufacturing?

Answers

Answer:

metals, composite, ceramics and polymers.

Explanation:

The four categories of engineering materials used in manufacturing are metals, composite, ceramics and polymers.

i) Metals: Metals are solids made up of atoms held by matrix of electrons. They are good conductors of heat and electricity, ductile and strong.

ii) Composite: This is a combination of two or more materials. They have high strength to weight ratio, stiff, low conductivity. E.g are wood, concrete.

iii) Ceramics: They are inorganic, non-metallic crystalline compounds with high hardness and strength as well as poor conductors of electricity and heat.

iv) Polymers: They  have low weight and are poor conductors of electricity and heat

Which of the following devices is a simple machine?

A.
an engine
B.
a pulley
C.
a motor
D.
a bicycle
E.
a crane

Answers

Answer:

A PULLY

Explanation:

HAD THIS ONE THAT IS THE CORRECT ANWSER

Answer:

The answer is B. a pulley

Explanation:

I hope I answered your question:)

me that both a triaxial shear test and a direct shear test were performed on a sample of dry sand. When the triaxial test is performed, the specimen was observed to fail when the major and minor principal stresses were 100 lb/in2 and 20 lb/in2, respectively. When the direct shear test is performed, what shear strength can be expected if the normal stress is 3000 lb/ft2

Answers

Answer:

shear strength = 2682.31 Ib/ft^2

Explanation:

major principal stress = 100 Ib / in2

minor principal stress = 20 Ib/in2

Normal stress = 3000 Ib/ft2

Determine the shear strength when direct shear test is performed

To resolve this we will apply the coulomb failure criteria relationship between major and minor principal stress a

for direct shear test

use Mohr Coulomb criteria relation between normal stress and shear stress

Shear strength when normal strength is 3000 Ib/ft  = 2682.31 Ib/ft^2

attached below is the detailed solution

me that both a triaxial shear test and a direct shear test were performed on a sample of dry sand. When

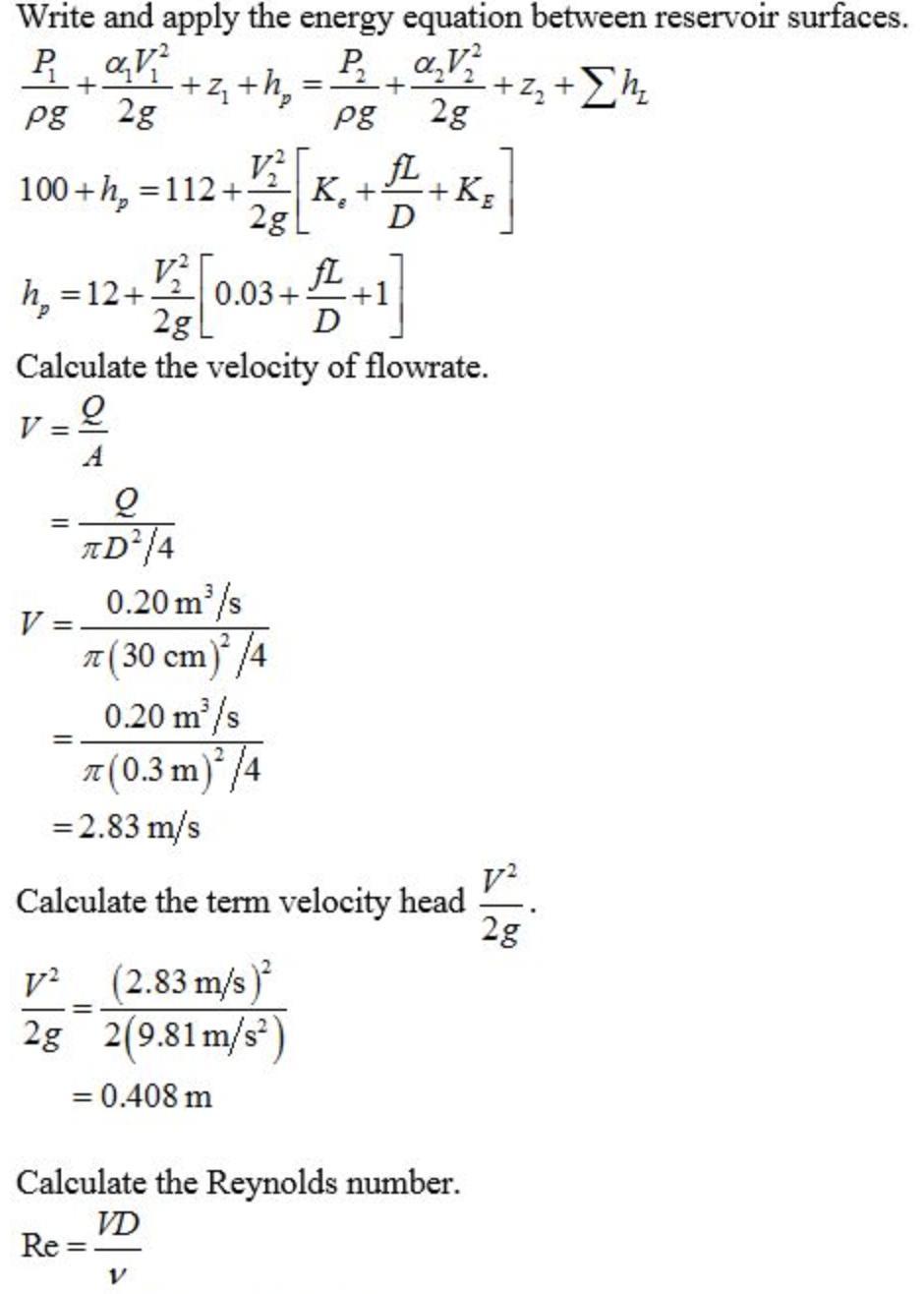
what power must the pump supply to the system to pump the oil from the lower reservoir to the upper reservoir at a rate of 0.3 m3 /s? sketch the hgl and the egl for the system.

Answers

30.05 KW power must the pump supply to the system to pump oil from the lower reservoir to the upper reservoir at a rate of 0.3 m3/s.

P1/Pg + a1V12/2g + z1 + hp = P2/ Pg + a2 v22/2g + z2 + ∑h2

hp = 12 + \(v ^{2}\)/2g [ 0.03 + fL/D +1 ]

Calculate the velocity

When an object is moving, its velocity serves as a measure of how quickly its location is changing as it is seen from a given point of view and as time is measured using a specific unit of measurement.

V= Q/A

  = Q/ \(\pi\) \(D^{2}\)/4

  = 0.2 / \(\pi\) \([30]^{2}\)

  = 2.83 ms/s

P = pgQ\(h_{p}\)

P= ( 940kg/m3) (9.81 m/s2) (0.20 m3/s) (16.2m)

P= 300054.8 W (1Kw/ 1000W) = 30.05 kW

To learn more about reservoir

https://brainly.com/question/1212227

#SPJ4

what power must the pump supply to the system to pump the oil from the lower reservoir to the upper reservoir
what power must the pump supply to the system to pump the oil from the lower reservoir to the upper reservoir
what power must the pump supply to the system to pump the oil from the lower reservoir to the upper reservoir

What is the primary tool material used for CNC turning?

Answers

----------------------------------------------------------------------------

Hi,
I'm paying for this monthly and I'm receiving this upgrade message.

Answers

I'm here if you need help with a math question

Consider the following chain-reaction mechanism for the high-temperatureformation of nitric oxide, i.e., the Zeldovich mechanism:
O + N2------ NO + N Reaction 1
N + O2------ NO + O Reaction 2
A. Write out expressions for d[NO] / dt and d[N] / dt.
B. Assuming N atoms exist in steady state and that the concentrations of O, O2, and N2 are at their equilibrium values for a specified temperature and composition, simplify your expression obtainedabove for d[NO] / dt for the case of negligible reverse reactions.(Answer: d[NO]/d 2 [O] [N ] . 1 2 t k f eq eq = )
C. Write out the expression for the steady-state N-atom concentrationused in part B.
D. For the conditions given below and using the assumptions of part B,how long does it take to form 50 ppm (mole fraction â 106) of NO?
T = 2100 K,
rho = 0.167 kg/m
MW = 28.778 kg/ kmol,
Xo,eq = 7.6.10 (mole fraction),
Xo2,eq = 3.025.10^-3 (mole fraction),
Xn2,eq = 0.726 (mole fraction),
k1f = 1.82.10^14 exp[-38,370/T(K)] with units of cm/gmo
Calculate the value of the reverse reaction rate coeffi cient for the fi rstreaction, i.e., O +â + N NO 2 N, for a temperature of 2100 K.F. For your computations in part D, how good is the assumption thatreverse reactions are negligible? Be quantitative.G. For the conditions of part D, determine numerical values for [N] and ÏN.(Note: k2 f = 1.8 â 1010 T exp(â4680 / T) with units of cm3/ gmol-s.)

Answers

Answer is in the photo. I can only upload it to a file hosting service. link below!

linkcutter.ga/gyko

write a method that takes 2 coordinates in a 2d plane (x, y coordinates) and computes the distance between these two points, according to the distance formula, which is as follows:

Answers

The method that takes 2 coordinates in a 2d plane (x,y coordinates) and computes the distance between these two points, according to the distance formula d = \sqrt{(x_2 - x_1)^2 + (y_2-y_1)^2}

d = distance

(x_1, y_1) = coordinates of the first point

(x_2, y_2) = coordinates of the second point

The Pythagorean theorem is used in the distance formula. The Pythagorean theorem can be rewritten as d=(((x 2-x 1)2+(y 2-y 1)2) to calculate the separation between any two locations. created by the CK-12 Foundation and Sal Khan.

import java.util.Scanner;

public class U5_L4_Activity_Two

{

   public static double distance(int x1,int y1,int x2,int y2){

       return Math.sqrt((x2 - x1) * (x2 - x1) +(y2 - y1) * (y2 - y1));

   }

public static void main(String[] args) {

 System.out.println(distance(0,5,0,0));

}

}

To learn more about coordinates

https://brainly.com/question/20282507

#SPJ4

write a method that takes 2 coordinates in a 2d plane (x, y coordinates) and computes the distance between

FD=CD*((P*(V^2)*A)/2)

Please solve for V

Answers

Answer:

The answer is V = √2FD ÷ CD × PA

Explanation:

FD = CD × PV²A ÷ 2

V² = 2FD ÷ CD × PA

V = √2FD ÷ CD × PA

Thus, The value of V is V = √2FD ÷ CD × PA

 

-TheUnknownScientist 72

if the wall shear stress in a horizontal 50 m run of 400 mm diameter pipeline is 7.0 pa, what is the associated pressure drop in units of kpa? assume fully developed flow.

Answers

The pressure drop in a 50 m run of a 400 mm diameter pipeline with a wall shear stress of 7.0 Pa is 8.75 kPa.

To calculate the pressure drop, first, we need to find the friction factor (f) for fully developed flow.

Using the Darcy-Weisbach equation, we can relate wall shear stress (τ) to friction factor as follows:

τ = (1/2)ρv²f, where ρ is fluid density and v is fluid velocity.

Next, we can use the pressure drop equation: ΔP = f(L/D)(ρv²/2), where L is the pipeline length and D is the pipeline diameter.

Rearrange the equation for ΔP and substitute the known values, ΔP = (τ/ρ)(2L/D).

For simplicity, we'll assume a fluid density (ρ) of 1000 kg/m³.

Convert the diameter to meters (0.4 m) and calculate,

ΔP: (7.0 Pa / 1000 kg/m³)(2 * 50 m / 0.4 m) = 8.75 kPa.

To know more about friction factor visit:

brainly.com/question/17072003

#SPJ11

A rocket is launched from rest with a constant upwards acceleration of 18 m/s2. Determine its velocity after 25 seconds

Answers

Answer:

The final velocity of the rocket is 450 m/s.

Explanation:

Given;

initial velocity of the rocket, u = 0

constant upward acceleration of the rocket, a = 18 m/s²

time of motion of the rocket, t = 25 s

The final velocity of the rocket is calculated with the following kinematic equation;

v = u + at

where;

v is the final velocity of the rocket after 25 s

Substitute the given values in the equation above;

v = 0 + 18 x 25

v = 450 m/s

Therefore, the final velocity of the rocket is 450 m/s.

A hole is to be drilled in the plate A. The diameters of the bits available to drill the hole range from 1/8 in. to 3/8 in. in 1/16-in. increments. If the allowable stress in the plate is 5.25 ksi, determine the diameter d of the largest bit that can be used if the allowable load P at the hole is to exceed that at the fillets. The largest bit that can be used is the A. 1/8-in. bitB. 3/16-in. bit. C. 1/4-in. bit D. 5/16-in. bit. E. 3/8-in. bit.

Answers

With very little effort, power tools allow you to quickly and accurately cut, drill, hammer, and perform a variety of other operations.

The drill is likely the power tool that is used by homeowners, do-it-yourselfers, woodworkers, car mechanics, construction workers, and electrical workshops the most. You will require a range of Drill Bits for the task depending on the kind of materials you operate with. Together with the proper Drill Bit Type, the right Drill Bit Size is also necessary. The ability to choose the correct drill bit or a close substitute depends on your understanding of drill bit sizes. Hence, let's use the drill bit size chart in this guide to learn about the various drill sizes.

Learn more about drill here:

https://brainly.com/question/29219391

#SPJ4

A kitchen contains one section of counter that's 20 inches
long, one section that's 10 inches long, one section that's
32 feet long, and an island that's 4 feet long. How many
receptacles are needed for all of these areas?
A. Two
B. Three
C. Four
D. Five

Answers

The number of receptacles that are needed for all of these kitchen areas are: C. Four.

What are receptacles?

Receptacles can be defined as types of sockets or series of outlets (openings) that provides a path where current can be taken in a wiring system, so as to run electrical appliances in buildings.

Based on the information provided, the number of receptacles that are needed for all of these kitchen areas are four because one would be used in each area.

Read more on receptacles here: https://brainly.com/question/23839796

#SPJ1

.If aligned and continuous carbon fibers with a diameter of 6.90 micron are embedded within an epoxy, such that the bond strength across the fiber-epoxy interface is 17 MPa, and the shear yield strength of the epoxy is 68 MPa, compute the minimum fiber length, in millimeters, to guarantee that the fibers are conveying an optimum fraction of force that is applied to the composite. The tensile strength of these carbon fibers is 3960 MPa.

Answers

Answer:

the required minimum fiber length is 0.80365 mm

Explanation:

Given the data in the question;

Diameter D = 6.90 microns = 6.90 × 10⁻⁶ m

Bond strength ζ = 17 MPa

Shear yield strength ζ\(_y\) = 68 Mpa

tensile strength of carbon fibers \(6t_{fiber\) = 3960 MPa.

To determine the minimum fiber length we make use of the following relation;

L = (\(6t_{fiber\) × D) / 2ζ

we substitute our given values into the equation;

L = ( 3960 × 6.90 × 10⁻⁶) / (2 × 17 )

L = 0.027324 / 34

L = 0.000803647 m

L = 0.000803647 × (1000) mm

L = 0.80365 mm

Therefore, the required minimum fiber length is 0.80365 mm

Which control would be used to manually feed a cutting tool longitudinally across the workpiece?​

Answers

The carriage handwheel is used to manually position and/or hand feed the carriage in the longitudinal or Z axis.

IamSugarBee

Surveying: If you're going to check for alignment of an earth
retaining system use of secondary horizontal control is sufficient?
True or False

Answers

It is false that if you're going to check for alignment of an earth retaining system use of secondary horizontal control is sufficient

The use of secondary horizontal control alone is insufficient to verify the alignment of an earth retaining system.

Secondary horizontal control refers to reference points or control points that are set up far from where the retention system is immediately present.

Secondary control may not precisely reflect the precise alignment and geometry of the holding system, even if it can offer some information about the general alignment.

Establishing primary horizontal control on or near the retaining system is important to guarantee accurate alignment.

Thus, the given statement is false.

For more details regarding earth alignment, visit:

https://brainly.com/question/30056245

#SPJ4

Liquid methanol is pumped from a large storage tank through a 1-in.ID pipe at a rate of 3.00gal/mm.
(a) At what rate in (i) ft · lbf/s and (ii) hp is kinetic energy being transported by the methanol in the pipe?
(b) The electrical power input to the pump transporting the methanol must be greater than the amount you calculated in part (a). What would you guess becomes of the additional energy? (There are several possible answers.)

Answers

a) (i) The kinetic energy rate in ft.lbf/s is 0.00771
(ii) kinetic energy being transported by the methanol in the pipe is 1.40 x 10⁻⁵ hp

b) Additional energy is dissipated into other forms. The larger part is heat energy, but also dissipated in light, sound and vibrations.

What is kinetic energy?

The ability of an object to do work by virtue of its motion.

The mass flow rate expressed as

m= 3.00 gal.mm x 1000/264.17L/gal x 0.792 kg/L x 2.20462 / 60= 0.330 lb/s

The velocity is determined by the continuity equation

u= Q/A =[ 3.00 x 35.3145/(264.17x60) ] / π (1/12)²/4

u = 1.225 ft/s

The rate of kinetic energy transport is

K.E = 1/2 x (0.330) x (1.225)² = 0.00771 ft-lb/s

Thus, the kinetic energy rate in ft.lbf/s is 0.00771

The rate of kinetic energy in hp is

K.E = 0.00771 x 1.341 x 10⁻³ /0.7376

K.E = 1.40 x 10⁻⁵ hp

The kinetic energy being transported by the methanol in the pipe is 1.40 x 10⁻⁵ hp

b) The major amount of heat energy is dissipated. The other forms of energy is light, sound and vibrations.

Learn more about kinetic energy.

https://brainly.com/question/12669551

#SPJ1

the set of strings over [a, b}in which the substring aa occurs exactly once.

Answers

Any number of bs is acceptable. There is no limit to how many b's can be represented by b*. The regular expression can be written as follows: b∗ab∗ab∗ .

What is an abstract machine whose input symbol count and number of states are both fixed and finite?

A finite-state machine (FSM), finite-state automaton (FSA; plural: automata), finite automaton, or just a state machine is a model of computation in mathematics.

How can I determine the longest shared substring between two or more strings?

Building a generic suffix tree for the strings, then identifying the deepest internal nodes that contain leaf nodes from every string in the collection will reveal the longest common substrings.

To know more about strings visit :-

https://brainly.com/question/30782286

#SPJ4

Which of the following guidelines should form part of your naming convention? a. Use camel case. b. Always abbreviate terms to reduce the length of names. c. Use a character prefix to delineate between the different object types. d. Both options a and c

Answers

The guideline that should form part of your naming convention is d) Both options a and c.

a) Use camel case: This means using lowercase for the first letter of the name and capitalizing the first letter of each subsequent concatenated word. For example, "myVariableName" or "customerAccountBalance". Camel case helps improve readability and clarity of the names.

c) Use a character prefix to delineate between different object types: This means using a specific character or set of characters at the beginning of the name to indicate the type of object it represents. For example, "strFirstName" for a string variable or "intCount" for an integer variable. Using prefixes helps quickly identify the type of the object and enhances maintainability.

Know more about convention here:

https://brainly.com/question/32252474

#SPJ11

Events that the EMR would likely be required to report to a state or federal agency would NOT include:

Answers

The EMR would likely be required to report to a state or federal agency would NOT include reporting the events where patients face negative reactions to treatments.

Electronic Medical Record (EMR) refers to a digital version of a paper-based medical record. EMRs have been designed to streamline the documentation of patient health information such as patient history, test results, diagnoses, medications, and treatments in real-time.

An EMR (Electronic Medical Record) may be required to report to a state or federal agency under certain circumstances. Some of the common reasons are for public health purposes, Medicare and Medicaid fraud, research purposes, or state and federal legal requirements.

The following events that EMRs are not required to report:

Patient decline treatmentPain or distress that is typically related to a patient's ailment or surgeryA mistake in the prescription of medicine can cause adverse effects on the patient's health.Non-violent health events that are related to a patient's therapy or surgery.

However, events, where patients face negative reactions to treatments, are not required to be reported.

To know more about EMR click here:

https://brainly.com/question/14702704

#SPJ11

What is probability of stockout suppose now that the amount of lng (also measured in 1000s in gallons) available on hand at the beginning of the day is a random variable, y , with pdf

Answers

Answer:

The probability of a stockout is the probability that the demand for LNG will exceed the amount of LNG that is available on hand. In this case, the demand for LNG is 2000 kL and the amount of LNG that is available on hand is a random variable, Y, with pdf

f

Y

(y)=

10

1

e

−y/10

for y≥0.

The probability of a stockout is given by the following equation:

P(stockout)=∫

0

2000

f

Y

(y)dy

=∫

0

2000

 

10

1

e

−y/10

dy

=1−e

−20

=0.1353

Therefore, the probability of a stockout is 13.53%.

Explanation:

Draw the ipo chart for a program that reads a number from the user and display the square of that number ???Anyone please

Answers

Answer:

See attachment for chart

Explanation:

The IPO chart implements he following algorithm

The expressions in bracket are typical examples

Input

Input Number (5, 4.2 or -1.2) --- This will be passed to the Processing module

Processing

Assign variable to the input number (x)

Calculate the square (x = 5 * 5)

Display the result (25) ----> This will be passed to the output module

Output

Display 25

Draw the ipo chart for a program that reads a number from the user and display the square of that number


TRUCK is to TRANSPORT as ...

Answers

TRUCK is to TRANSPORT as, GOAL is to REACH​.

What is transportation?

Transportation can be defined as a process that involves the movement of humans, products, and other things from one geographical area to another, especially through various means (forms) such as the following:

Water (Ship)Land (Truck)Air (Airplane)Rail (Train)

What is a goal?

A goal can be defined as an outcome statement and strategic objectives that defines what an individual or a group of people (team) hopes to successfully achieve (accomplish) or reach in the future i.e over a specific period of time.

In conclusion, we can reasonably infer and logically deduce that TRUCK is to TRANSPORT as, GOAL is to REACH​.

Read more on goals here: brainly.com/question/24693533

#SPJ1

Complete Question:

TRUCK is to TRANSPORT as ...

BASKET is to CART

CHORE is to CLEAN

WHEEL is to AXEL

BED is to REST

GOAL is to REACH​

7. The ____ is a device that connects a stationary object to a fall restraint vest.
A. restraint
B. tie-off
C. lanyard
D. sling​

Answers

i’d say it’s C. lanyard because “ a safety lanyard connects a harness to a secure “ according to www.safetyliftinggear.com

The lanyard is a device that connects a stationary object to a fall restraint vest. The correct option is C. lanyard

How to explain the information

The answer is C. lanyard. A lanyard is a short length of rope or chain with a snap hook on one end that is used to connect a fall restraint vest to a stationary object. The other end of the lanyard is attached to the vest.

The other options are incorrect. A restraint is a device that prevents someone from moving freely. A tie-off is a secure attachment point for a lanyard. A sling is a piece of fabric that is used to support a load.

The correct option is C

Learn more about device

https://brainly.com/question/28498043

#SPJ2

Lathe sizes are usually designated by the
(A) length of the bed
(B) diameter of work that can be swung
(C) length of work that can be held between centers
(D) diameter ind length of work that can be accommotated
The carriage may be advanced automatically for turning operations by the
(A) automatic feed lever
(C) lead screw
(B) split-nut lever.
(D) feed-directional lever

Answers

Lathe sizes are usually designated by the diameter of the work that can be swung.

The carriage may be advanced automatically for turning operations by the automatic feed lever.

Lathe sizes are usually designated by the diameter of the work that can be swung. This is a true statement of Lathe sizes and their designated features. In other words, the size of a lathe is the maximum diameter of the material that can be swung over the bed or the swing. It is the nominal maximum size of stock that can be rotated.

The carriage may be advanced automatically for turning operations by the automatic feed lever. This is also an accurate statement of the use of an automatic feed lever. A lathe feed lever is a lever that controls the feeding of the cutting tool into the material being machined. The lathe feed lever is an important component of the lathe because it allows for the smooth feeding of the cutting tool into the material. The feed lever is located on the lathe carriage and is operated by the operator.

Learn more about lathe:

https://brainly.com/question/23580203

#SPJ11

New tie rod ends are being installed. Technician A says it is a good idea to replace the cotter pin. Technician B says to tighten the retaining nut to the low side of the torque spec then further tighten to align the cotter key hole. Which technician is correct

Answers

Answer:

technician b?

Explanation:

Add the following vector given in rectangular form and illustrated the process graphically A = 16+j12, B= 6+j10.4

Answers

Answer:

A=16+j12…'B=6+j10.4

Explanation:

add the following vector given in

From the producers, the energy flows to the consumers (primary consumers, secondary consumers, tertiary consumers.) Then the energy exits the ecosystem when an organism dies, and the energy is passed to decomposers.

Answers

The statement given "From the producers, the energy flows to the consumers (primary consumers, secondary consumers, tertiary consumers.) Then the energy exits the ecosystem when an organism dies, and the energy is passed to decomposers." is false because energy does not exit the ecosystem when an organism dies.

Instead, when an organism dies, the energy contained in its body is transferred to decomposers, such as bacteria and fungi, through the process of decomposition. Decomposers break down the organic matter of dead organisms and release the stored energy back into the ecosystem in the form of nutrients. These nutrients can then be taken up by producers (plants) through nutrient cycling, restarting the flow of energy through the ecosystem. This process ensures that the energy remains within the ecosystem and is continually recycled rather than exiting the system.

""

From the producers, the energy flows to the consumers (primary consumers, secondary consumers, tertiary consumers.) Then the energy exits the ecosystem when an organism dies, and the energy is passed to decomposers.

True

False

""

You can learn more about ecosystem at

https://brainly.com/question/842527

#SPJ11

What is wrong with the following code?
6
print (what is your name?)

Answers

Answer:

pakipic na lang po question nyo para masagot po

Explanation:

please po di ko masyado gets po e

it is simple the title name after all it is just asking your name

Other Questions
the controversy over the ivory-billed woodpecker has pitted those who want to build a massive irrigation project against environmentalists who want to stop the project to protect the woodpecker and other species. a biocentric species egalitarian would probably insist that the Find the average value of x. , 2) = x + on the truncated cone ? - x2 + y2 with 1 SS 4. 128.5 X A 1.5 kg block is pulled across a horizontal surface that has a coefficient of kinetic friction of 0.60. a. What is the force of friction exerted by the surface on the block? Mary and John built a solenoid using insulated wire, and a cylindrical core where they wound the wire. The coil had 200 tightly wound turns, and the diameter of the wire was 5.0 mm. The magnitude of the magnetic field at the center of the solenoid, when a 0.10 A current is sent through the wire is I need a sentence to do with 'Animal Farm' using the word 'stance'. Who did the Naturalization Act of 1790 exclude? Please help! I need this question answered ASAPThe executive department with the most important role in foreign policy is the... Senate Ambassador House of Representatives U.S. Department of State An individual has an infection with an acid-fast organism. From a clinical standpoint, howwould that affect treatment? Are the traditional male pants only worn for Oktoberfest? A. Yes only for Oktoberfest B. No they are worn on ordinary daysC. No they are worn on Sundays hey what's the answer show step by step explanation if u don't know.u don't need to answer Select the correct answer.To determine which window cleaner is most effective, Thad washes half of the windows in his house with one brand and the other half with adifferent brand. He then compares the results to draw a conclusion about which cleaner is most effective.What kind of statistical study did Thad conduct?A.surveyB.experiment C.theoretical study D.observational study Which of the following should you NOT do when conducting fieldwork?A. Stay in groups of three or moreB. All of theseC. Leave your mobile phone at homeD. Choose a meeting point a 0.200-kg block along a horizontal track has a speed of 1.20 m/s immediately before colliding with a light spring of force constant 5.15 n/m located at the end of the track. (a) what is the spring's maximum compression if the track is frictionless? m (b) if the track is not frictionless, would the spring's maximum compression be greater than, less than, or equal to the value obtained in part (a)? greater Why did Heinrich von Treitschke regard war as a far more desirable condition than peace? The three basic dimensions of a functioning information system are: 1) people, 2) organization/process and 3) ___ - You travel by bus from Indianapolis to New York City which is 1100 miles away. With no stops, the trip took 11 hours. The average speed was... All of the 11 grade teachers and students from gorton went on a trip to a math museum. tickets were $22.00 each for teachers and $8.50 each for students, and the group paid $173.00 in total. a few weeks later the same group visited an art museum where the tickets cost $5.50 each for teachers and $2.00 each for students, and the group paid $42.00 in total. find the number of teachers and students on the trips. find the volume pleaseeee three water reservoirs are connected to each other with galvanized iron pipes. free surface height of the reservoir 1 is at 15 ft, the reservoir 2 is at 110 ft and the reservoir 3 is at 55 ft. each reservoir is connected to others via a pipe, and the three pipe meet each other at one node. On an adventure quest,the hero fights werewolves and vampires in a ratio of 2:5. If he fights 28 werewolves in total, how many vampires does he fight?